当前位置:网站首页

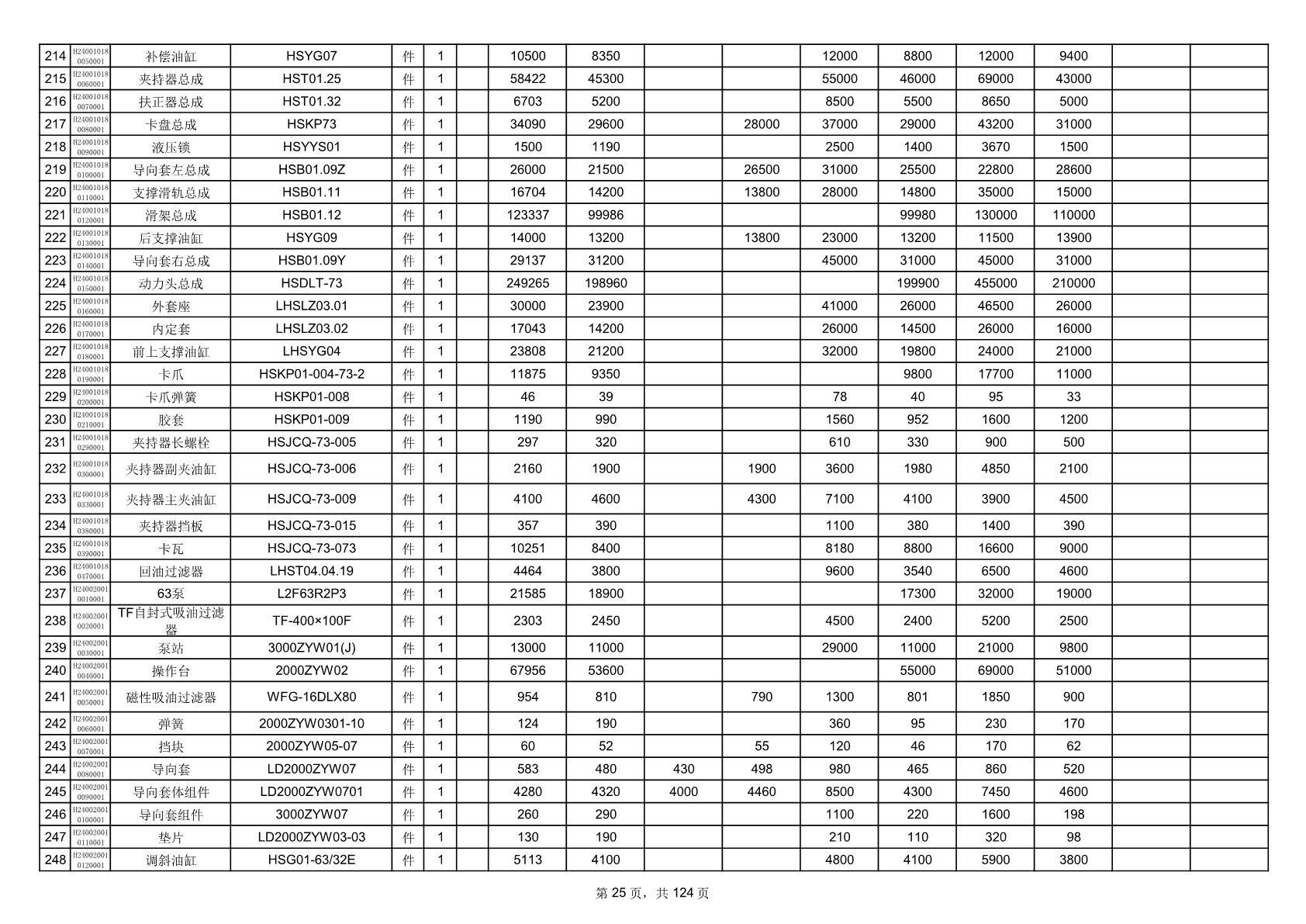
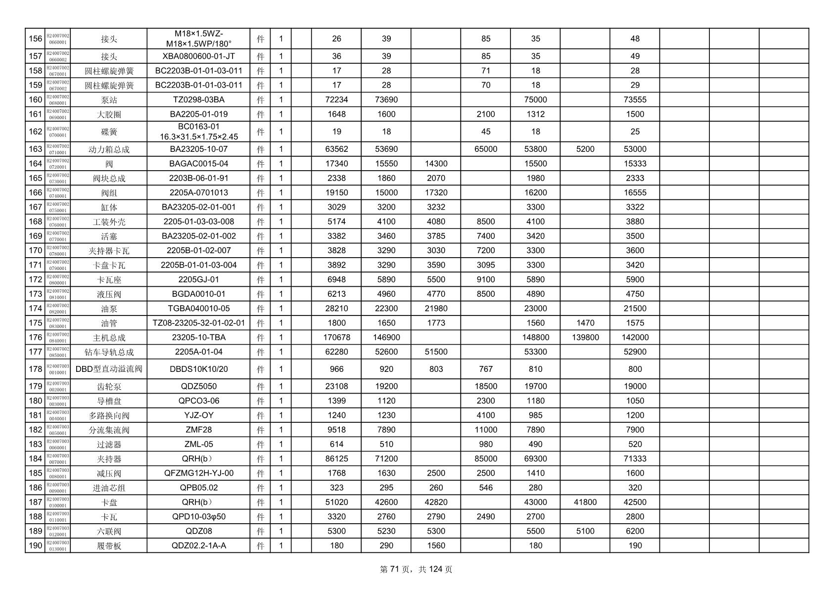
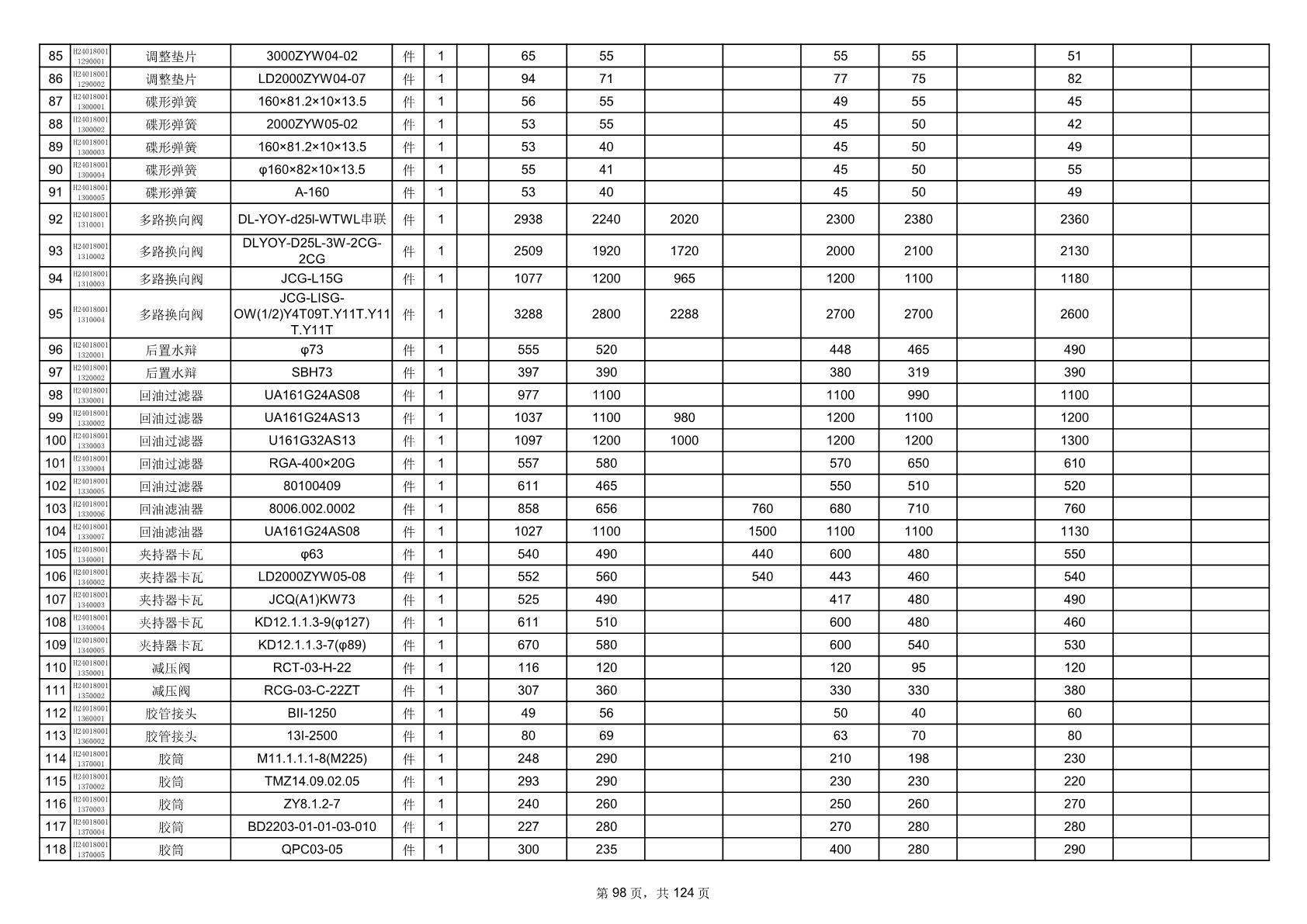
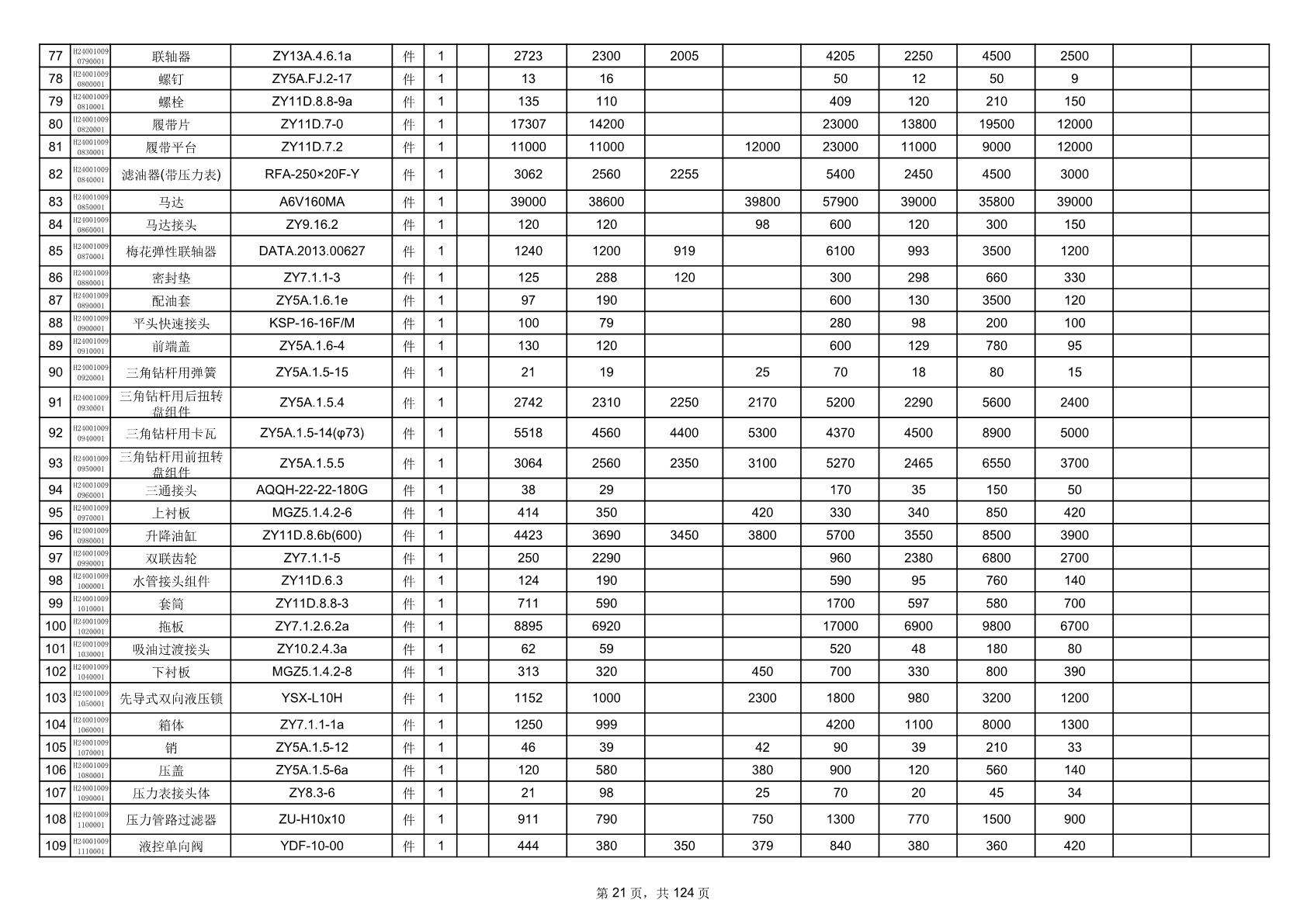
2025年8月12日配件报价记录表(0049P)