当前位置:网站首页

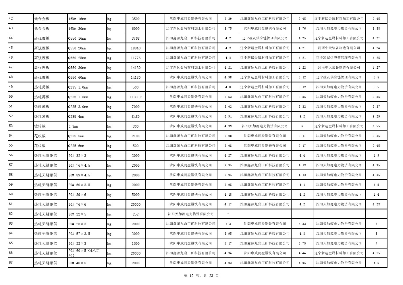
2025年6月4日材料公开招标中标候选人公示(0045C)