当前位置:网站首页

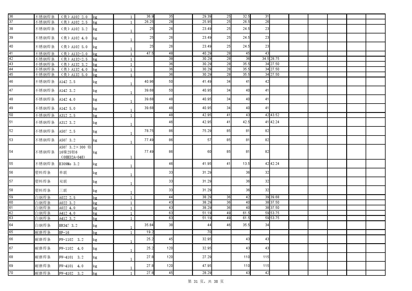
2024年11月20日材料开标记录表(0118C)