当前位置:网站首页

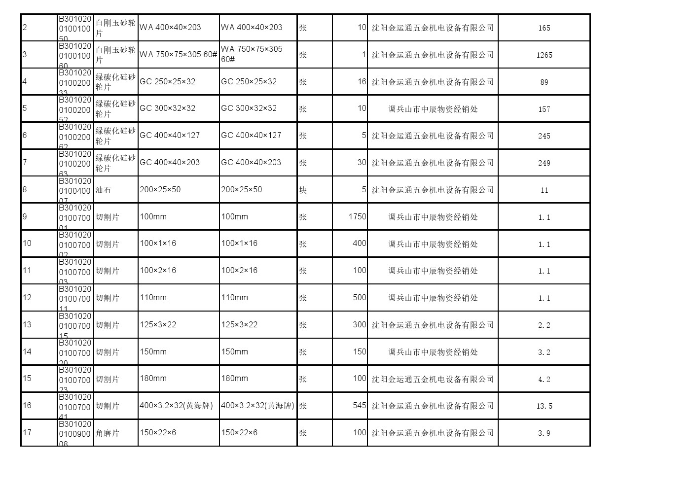
2023年7月25日材料中标结果公告(0044C)