当前位置:网站首页

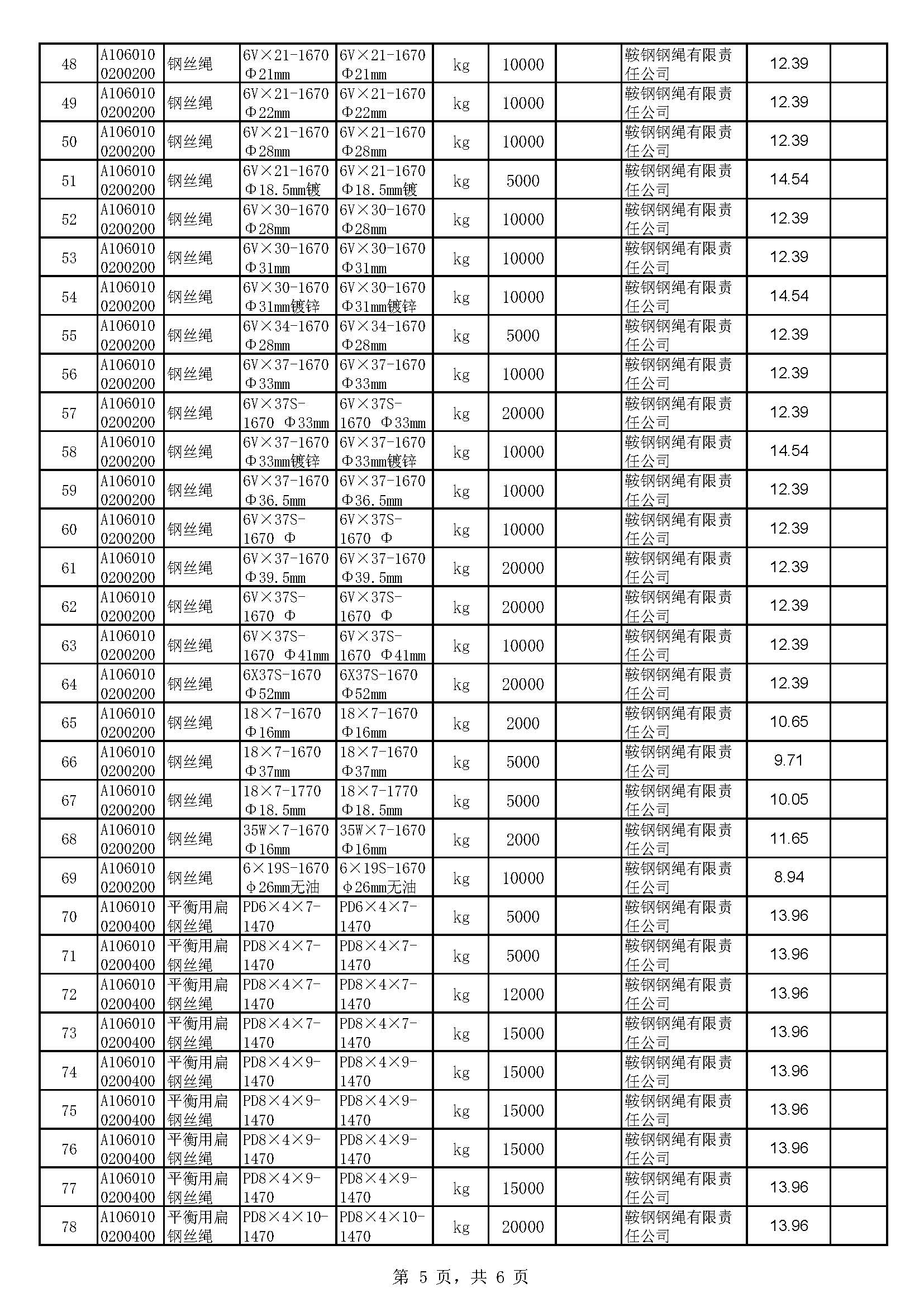
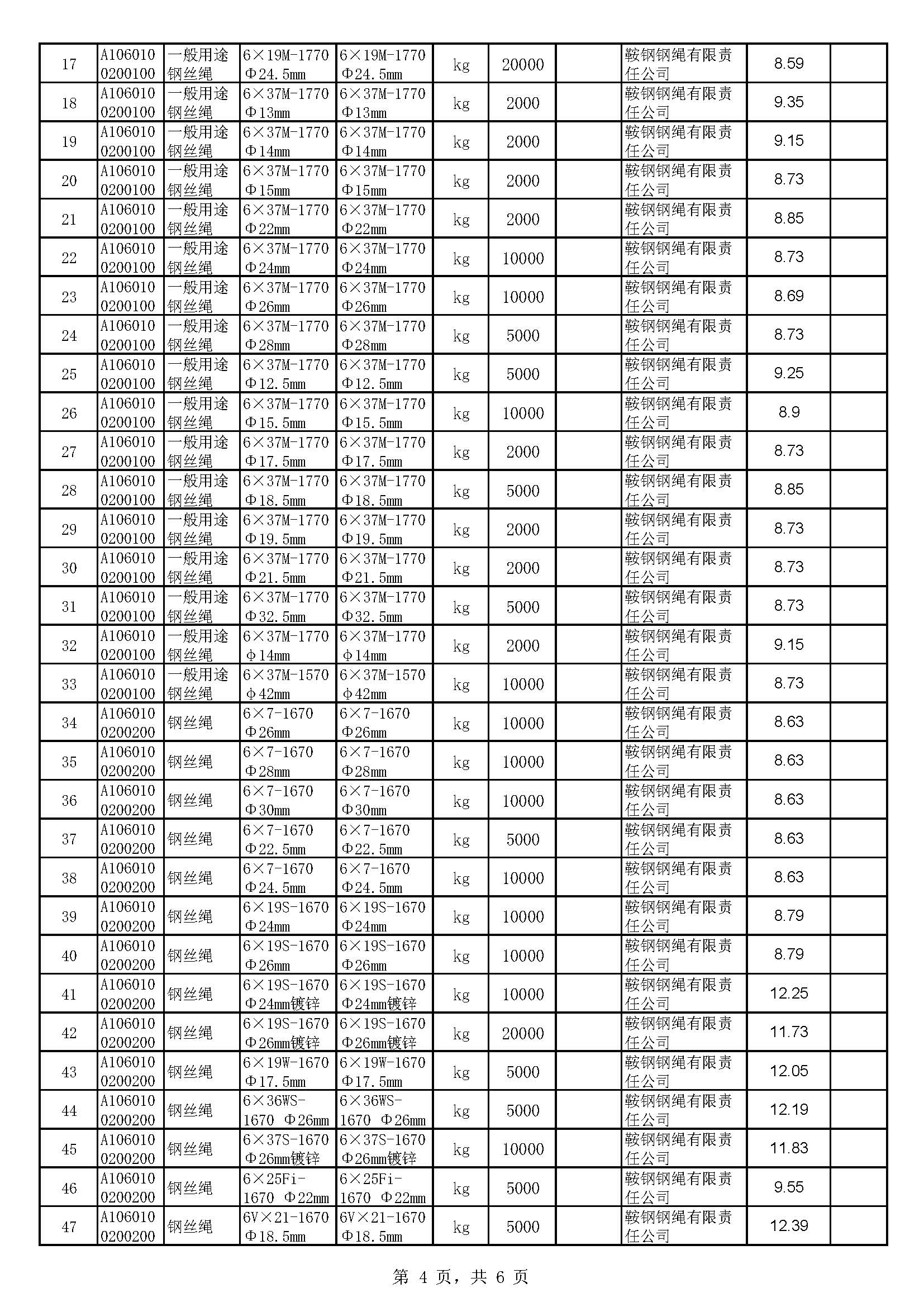
2023年6月30日材料成交结果公告(0039C)