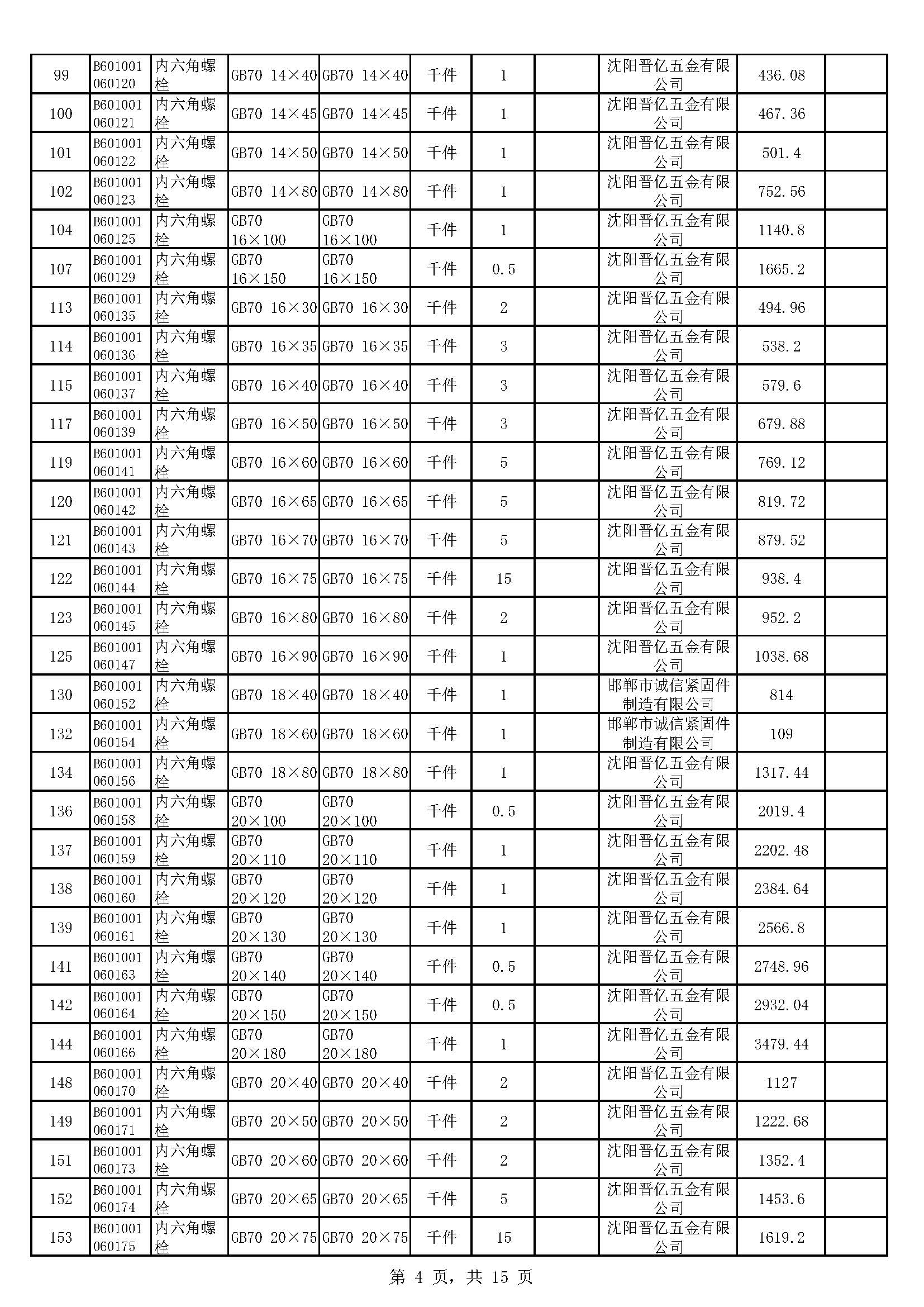
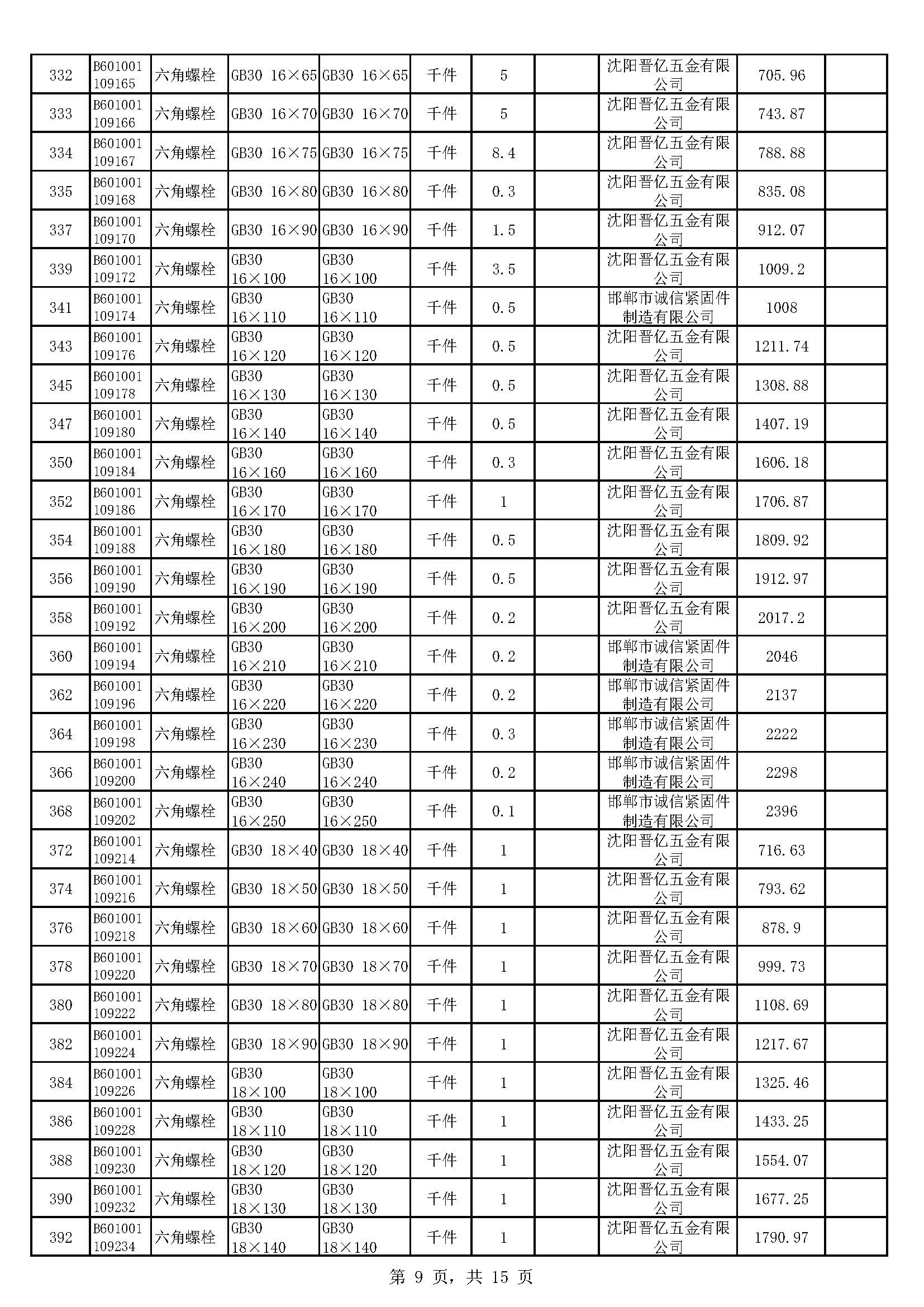
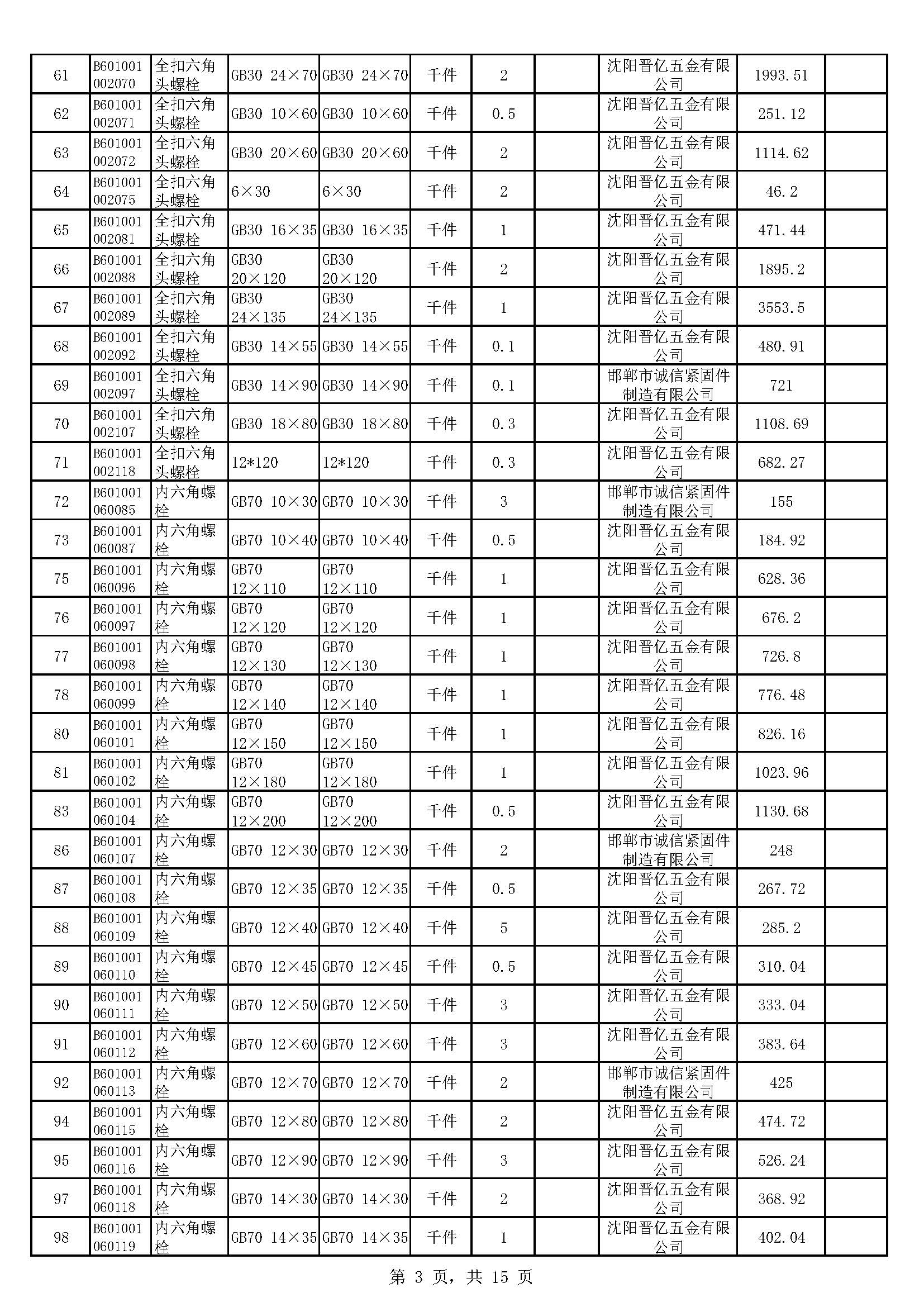
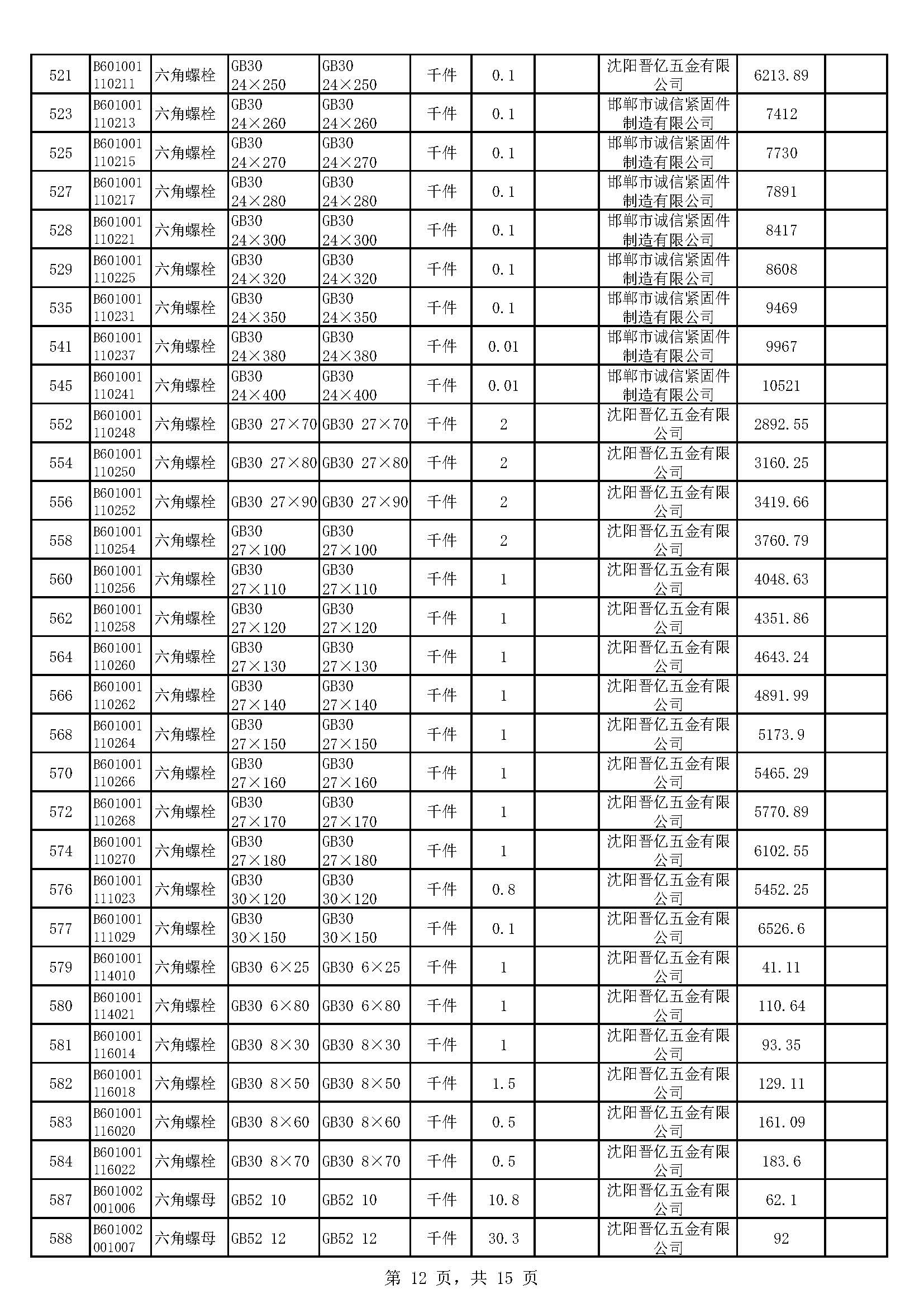
当前位置:网站首页

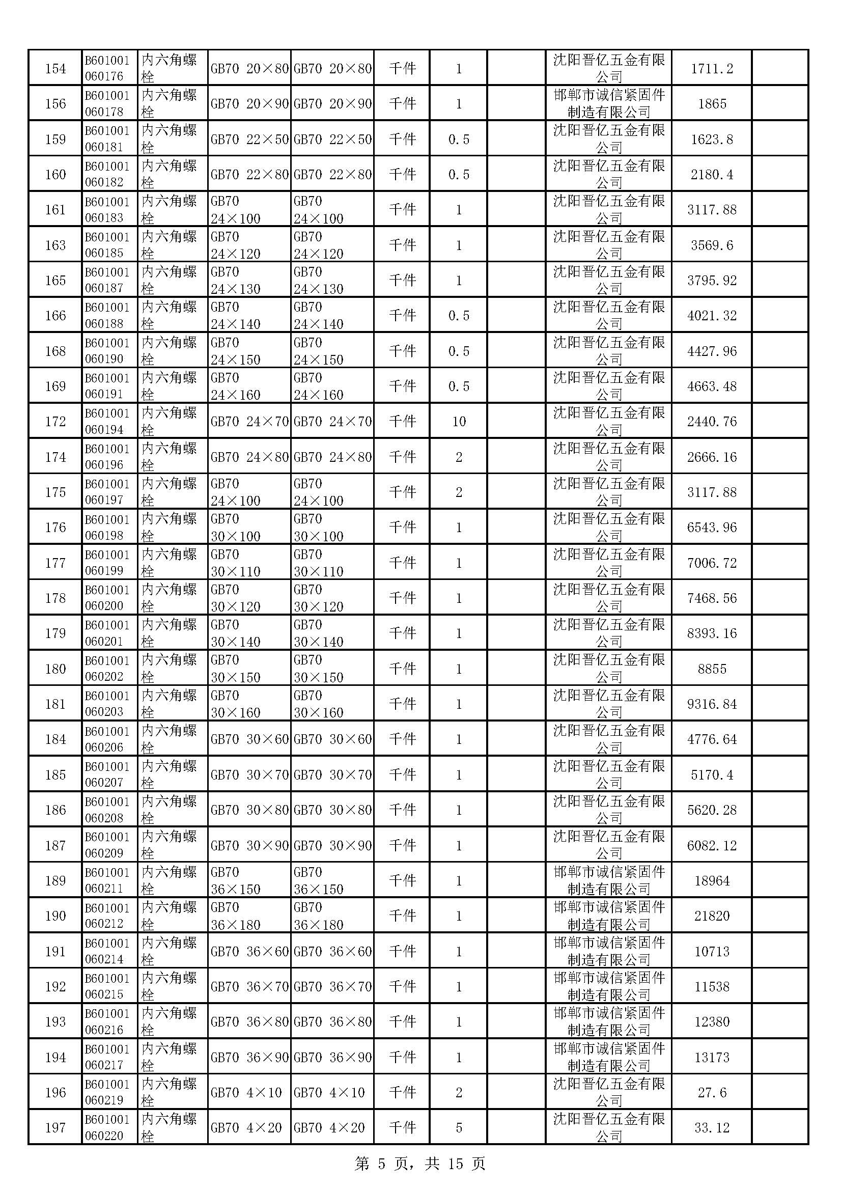
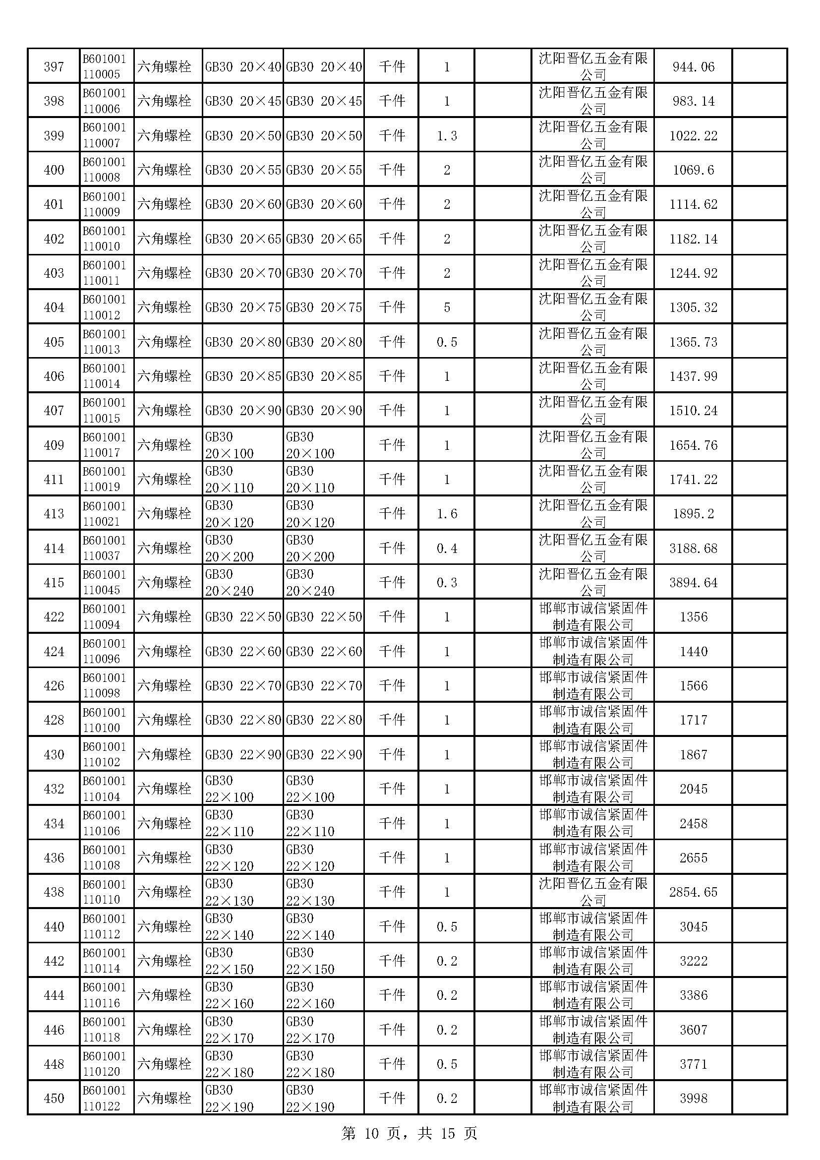
2023年6月14日材料中标结果公告