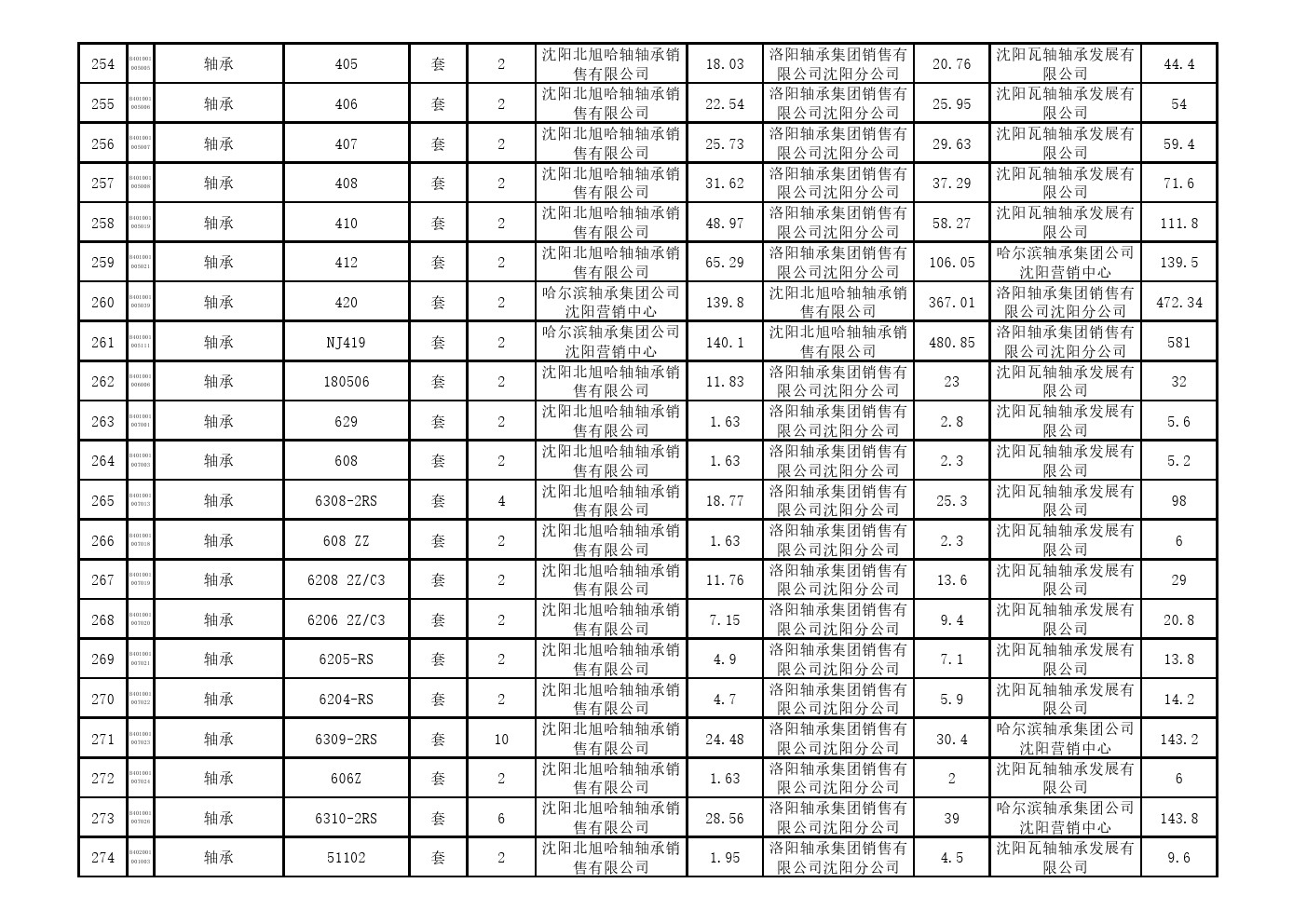
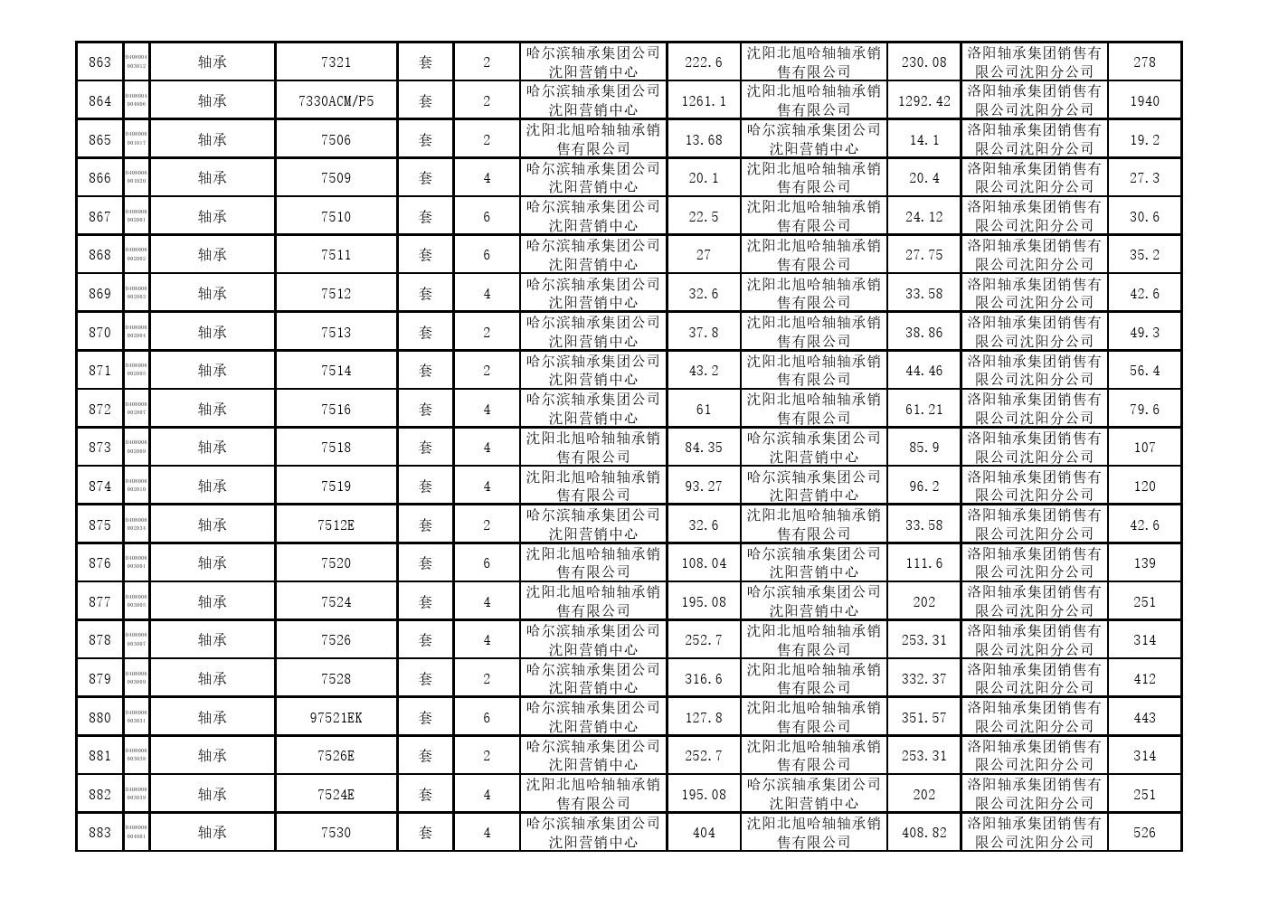
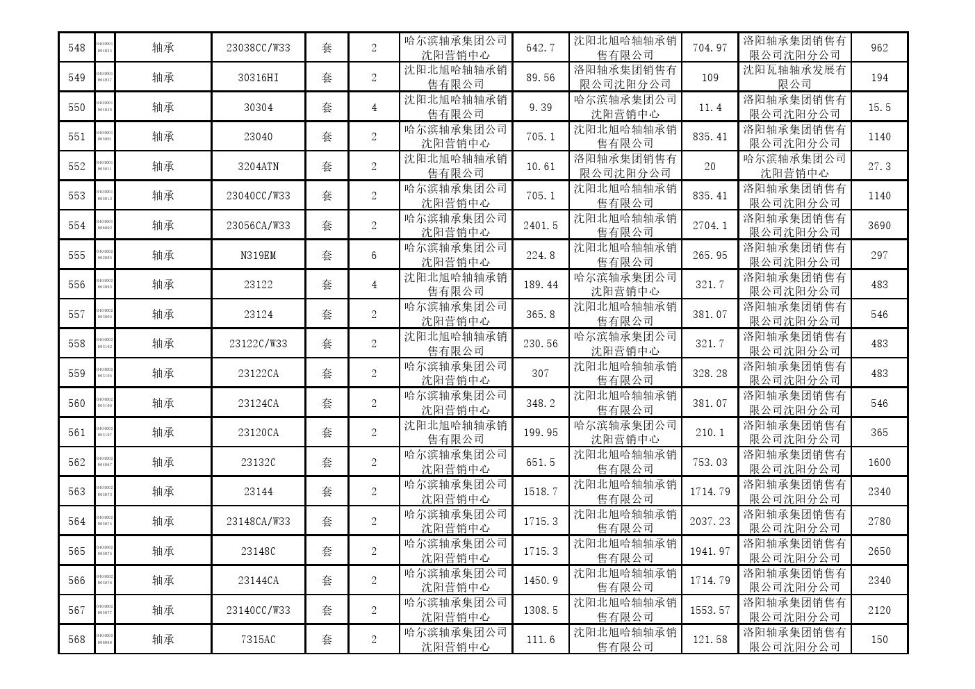
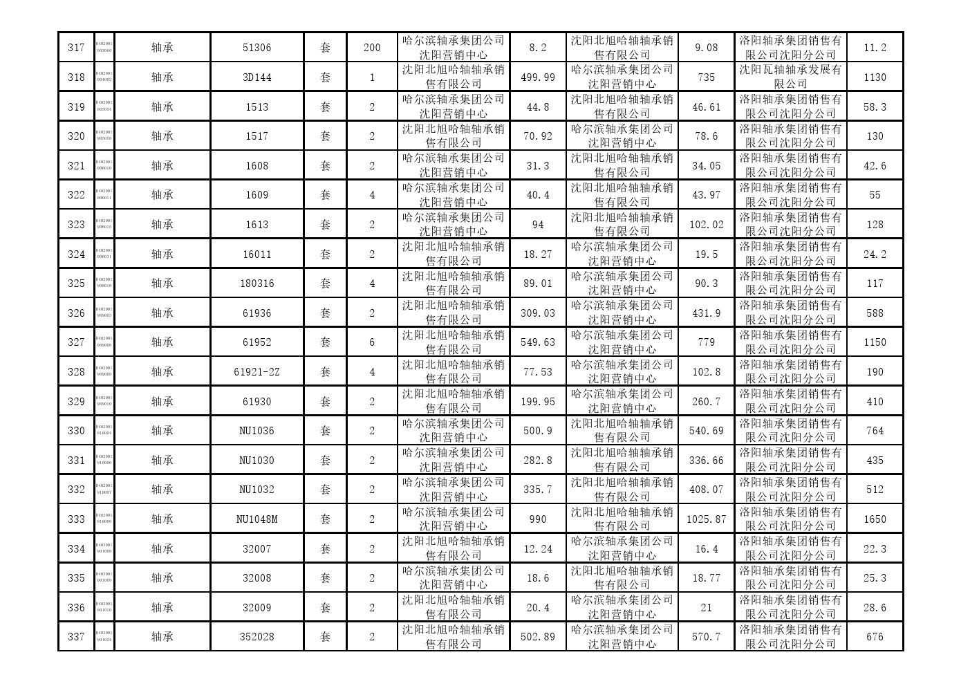
当前位置:网站首页

2019年9月24日材料中标候选人