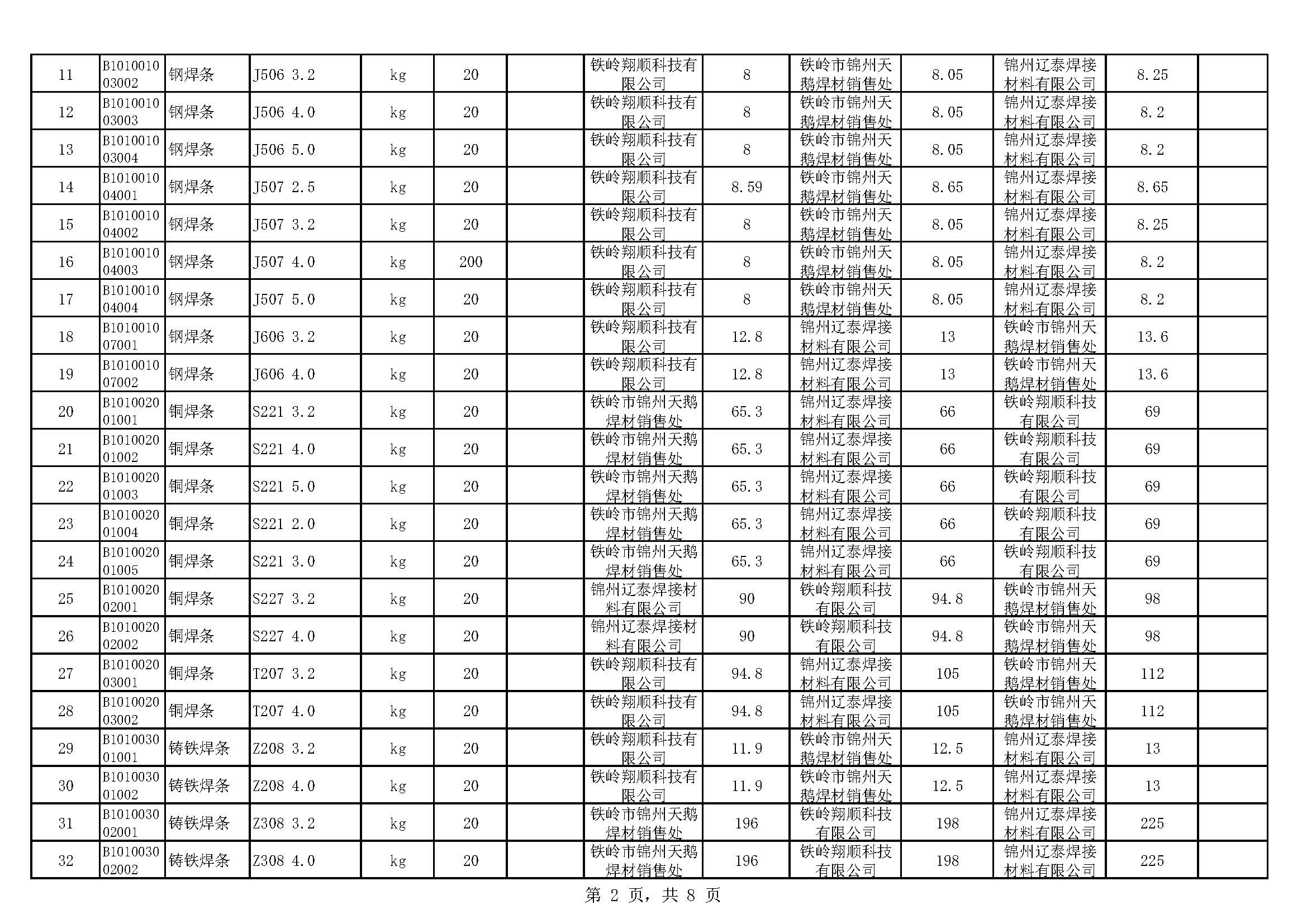
当前位置:网站首页

2022年7月29日材料中标候选人公示