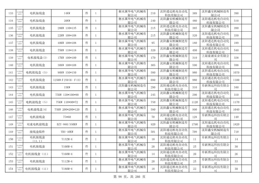
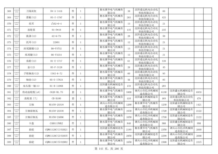
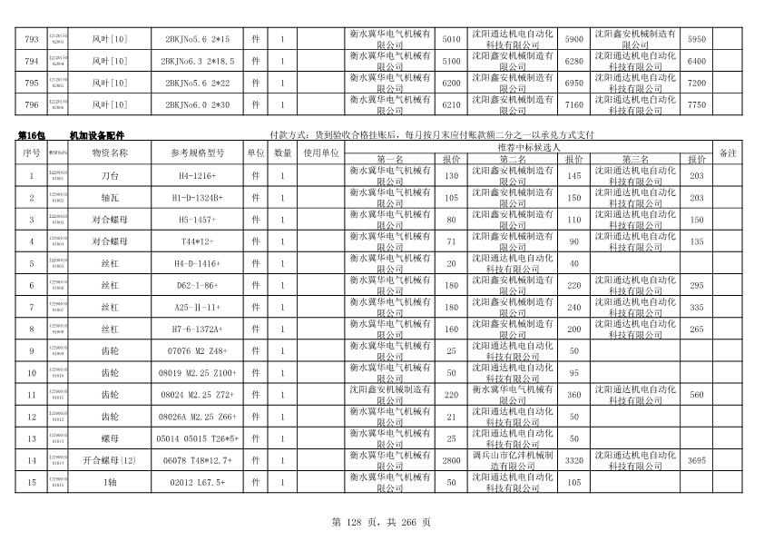
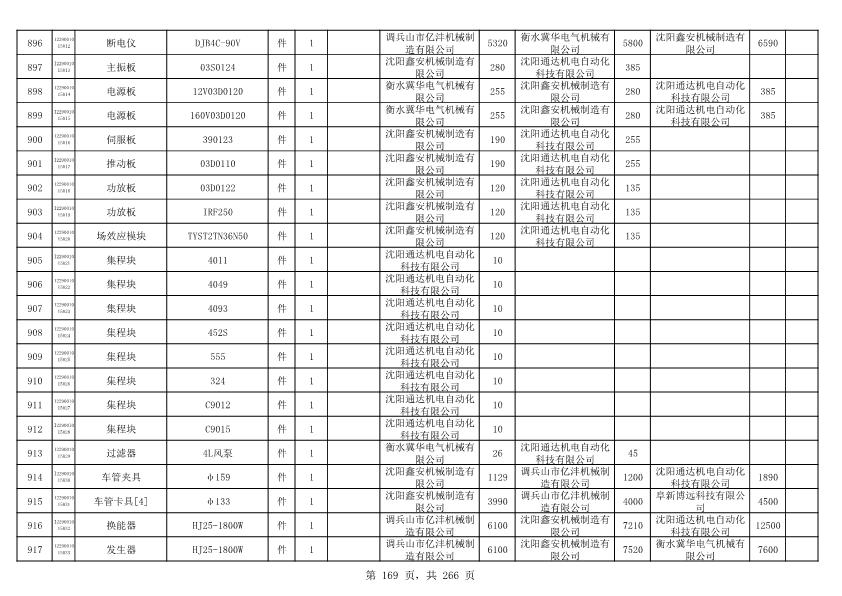
当前位置:网站首页

2022年6月29日配件中标候选人公示