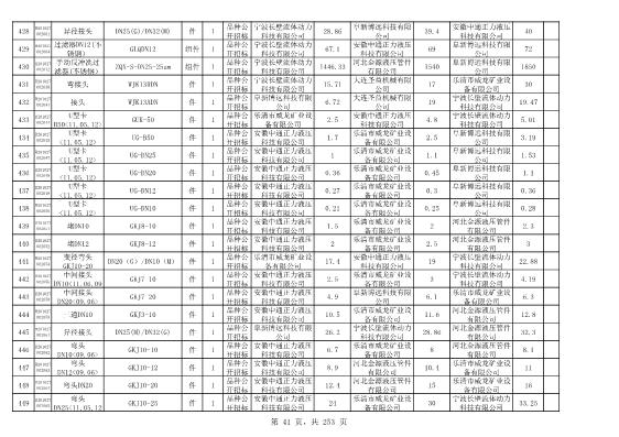
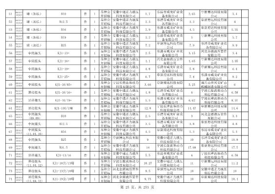
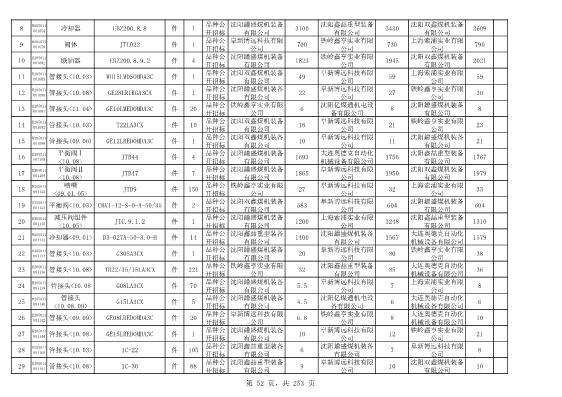
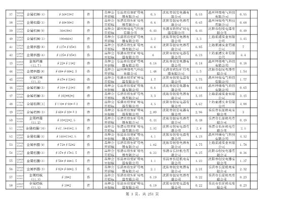
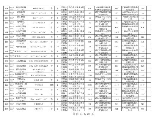
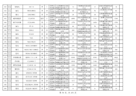
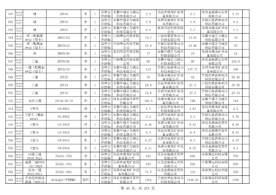
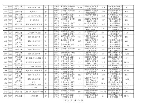
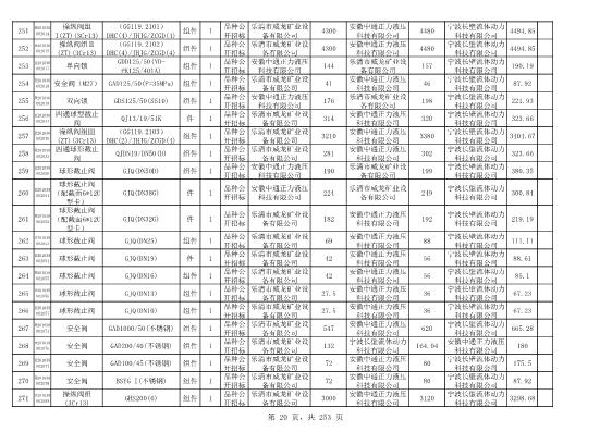
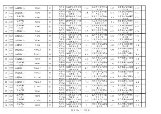
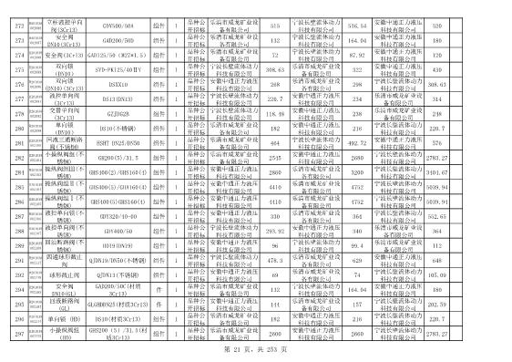
当前位置:网站首页

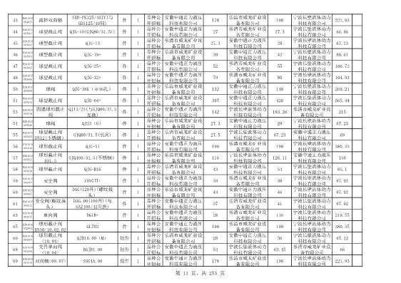
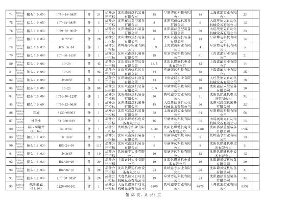
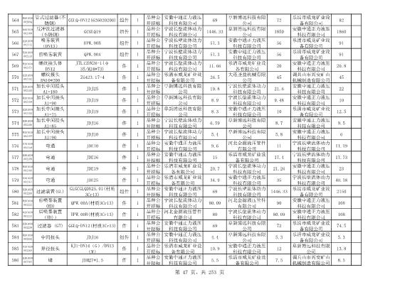
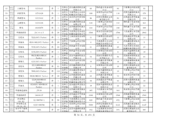
2022年5月27日配件公开招标项目中标候选人公示1