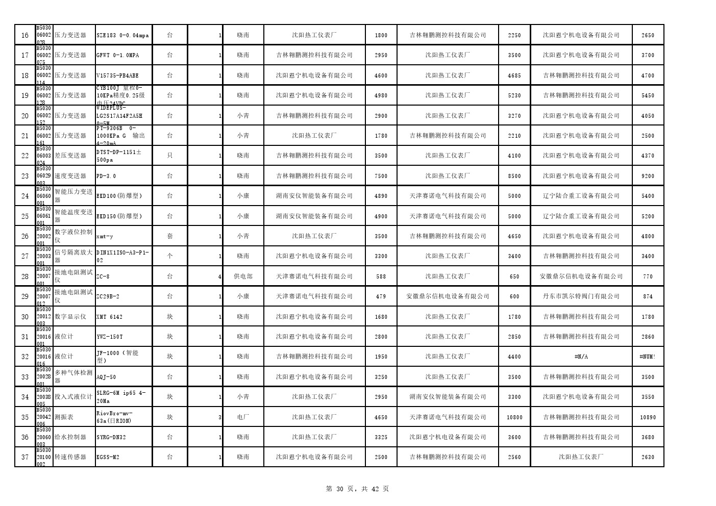
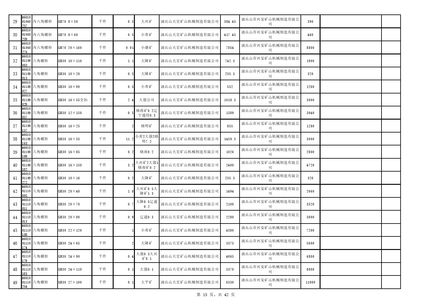
当前位置:网站首页

2022年5月19日材料中标候选人公示