当前位置:网站首页

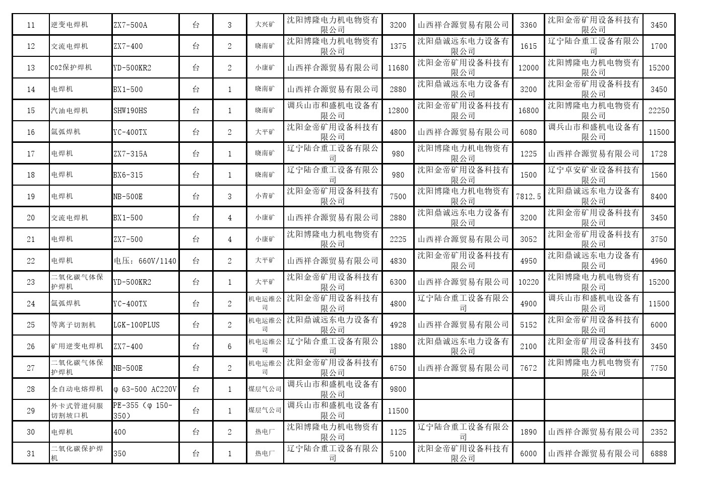
2021年7月30日设备公开招标中标候选人公示