当前位置:网站首页

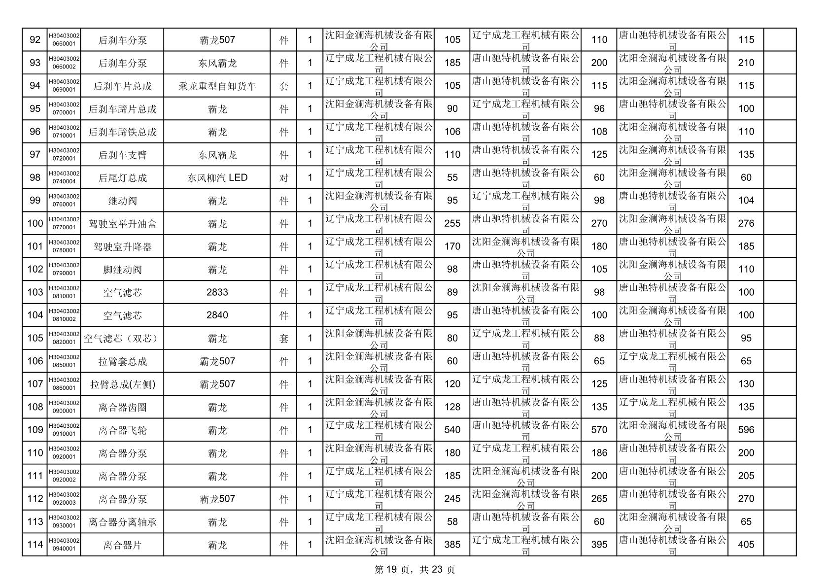
2025年12月30日配件中标候选人公示(0080P)