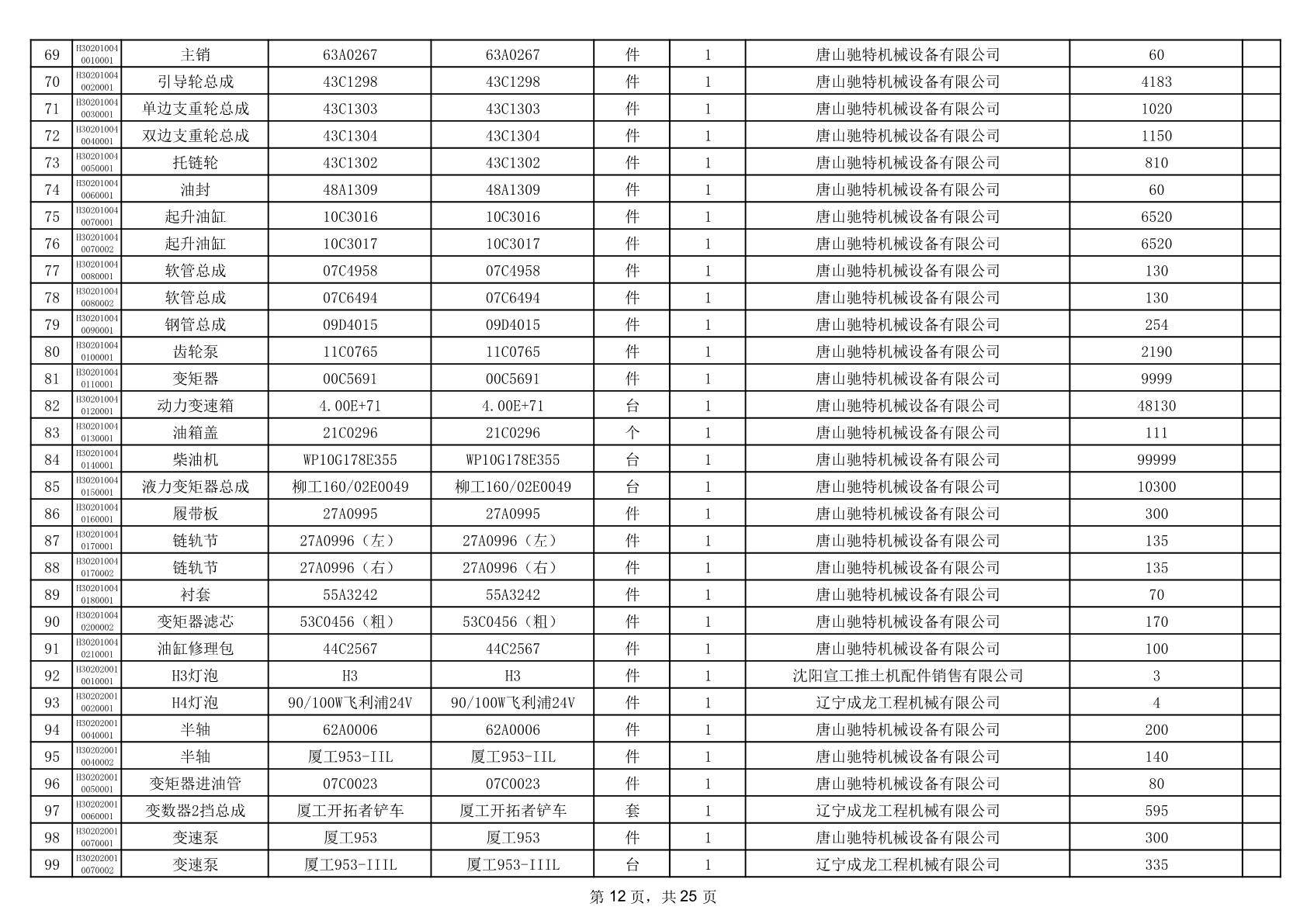
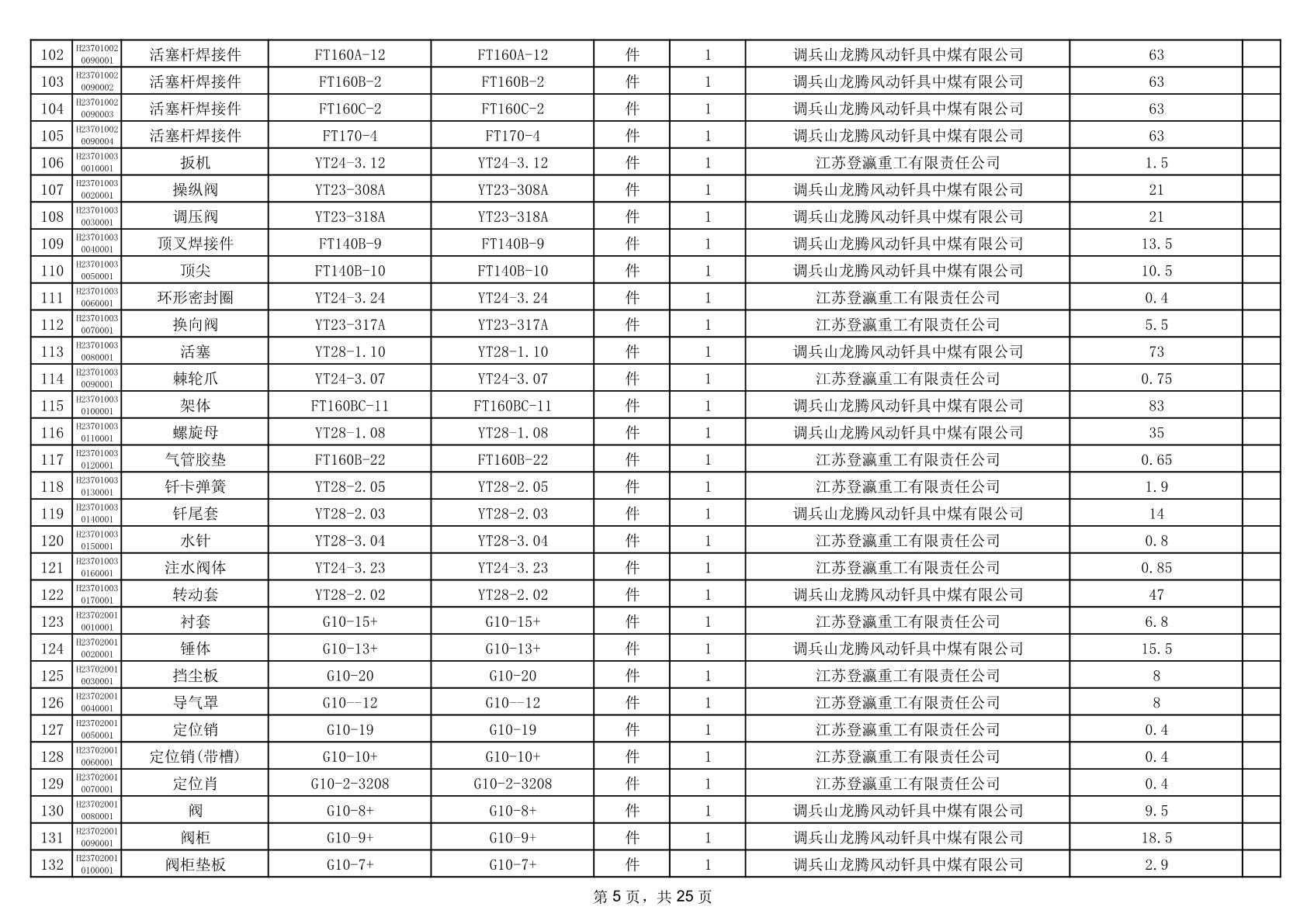
当前位置:网站首页

2025年12月9日配件中标结果公告(0079P)