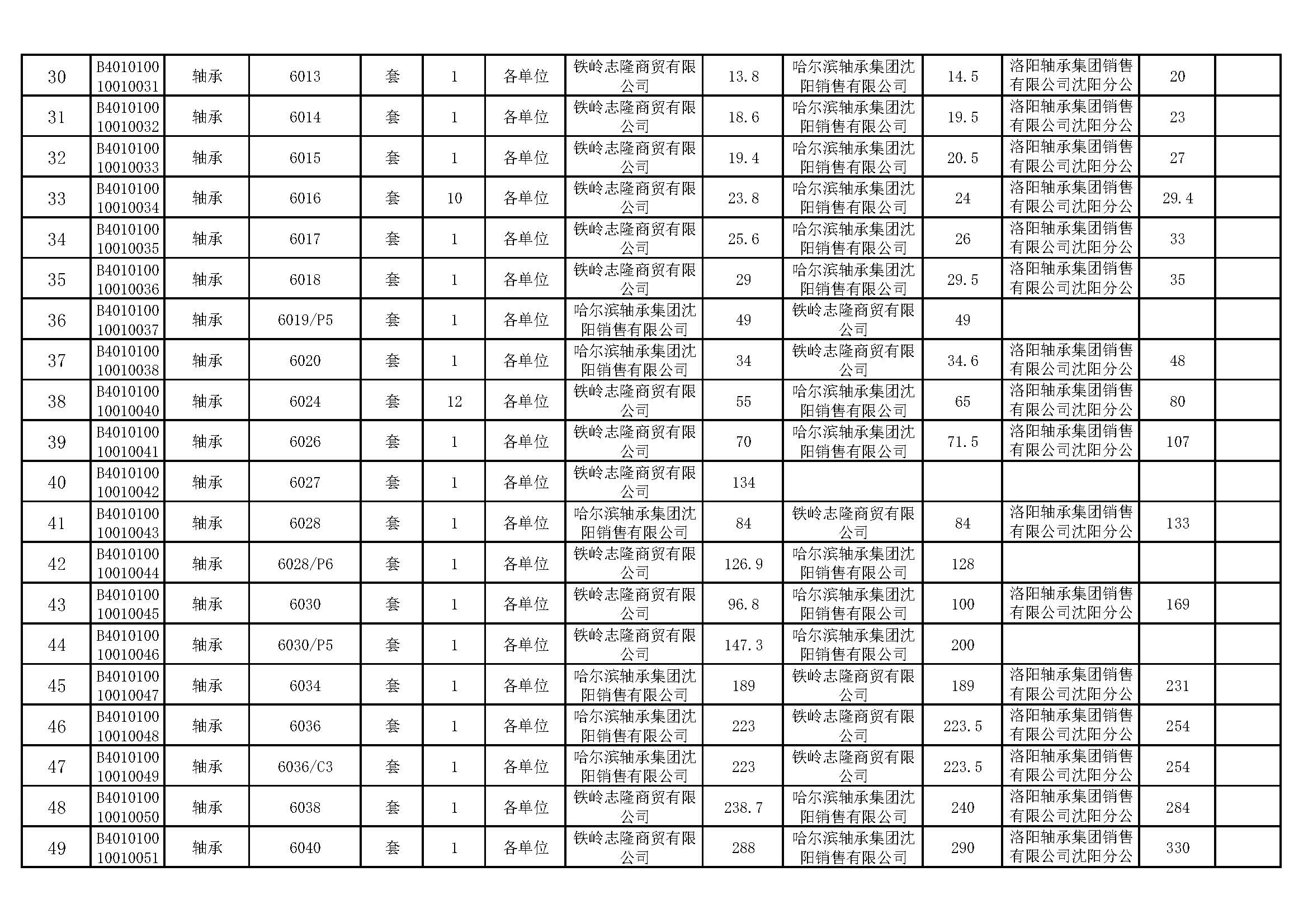
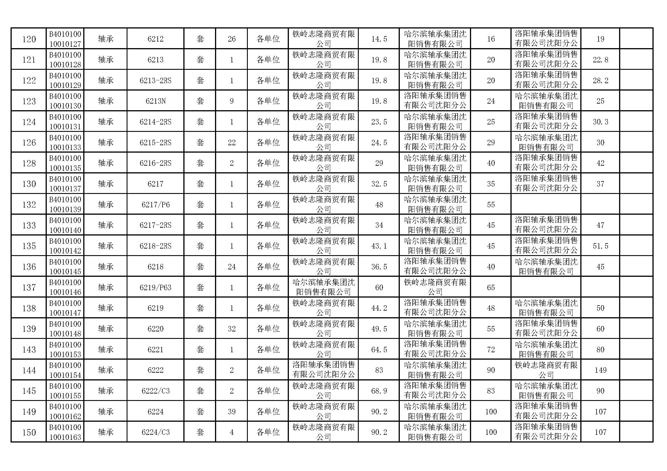
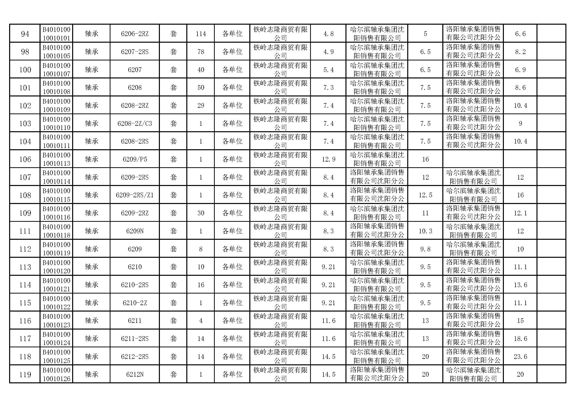
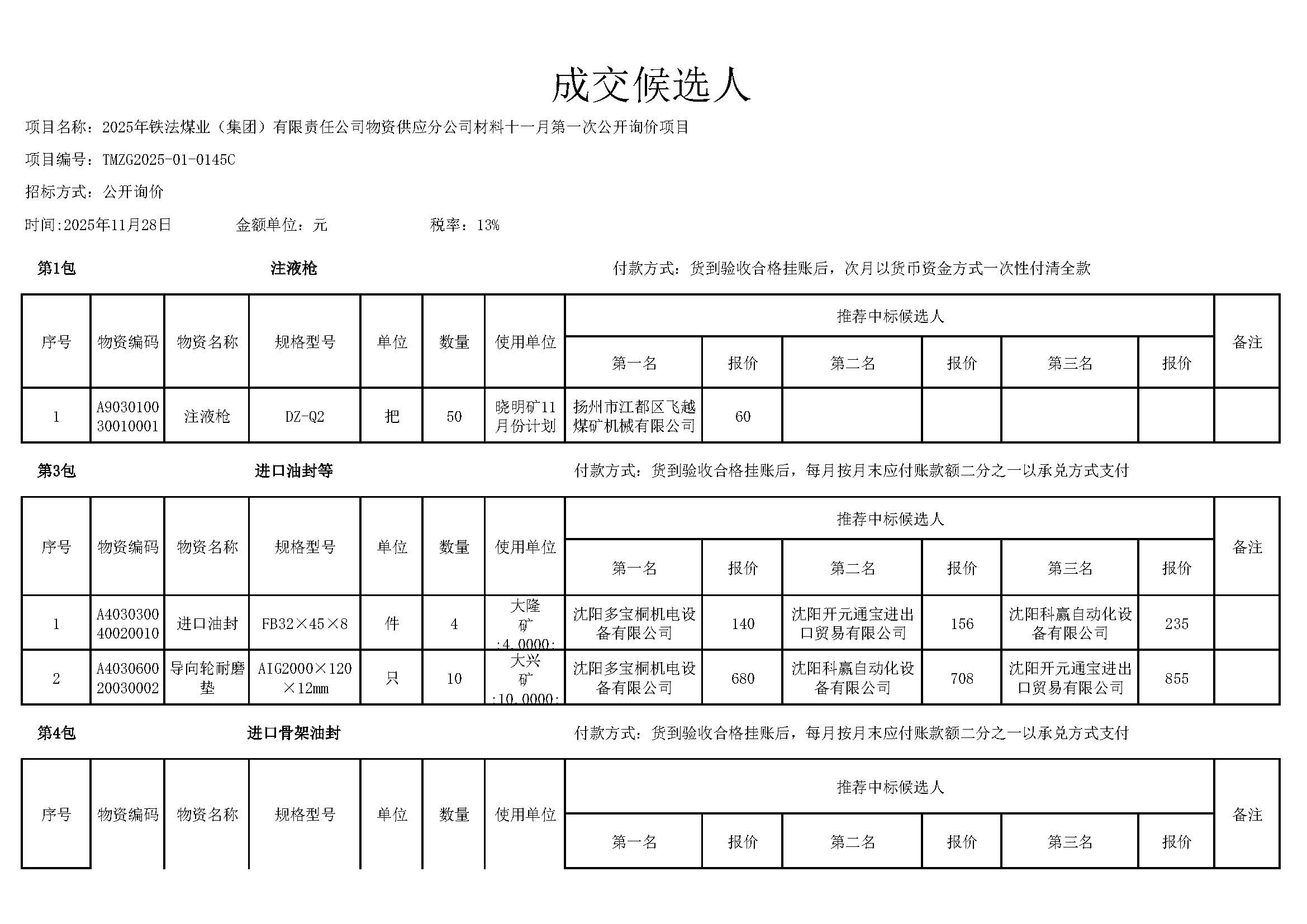
当前位置:网站首页

2025年11月28日材料成交候选人公示(0145C)