当前位置:网站首页

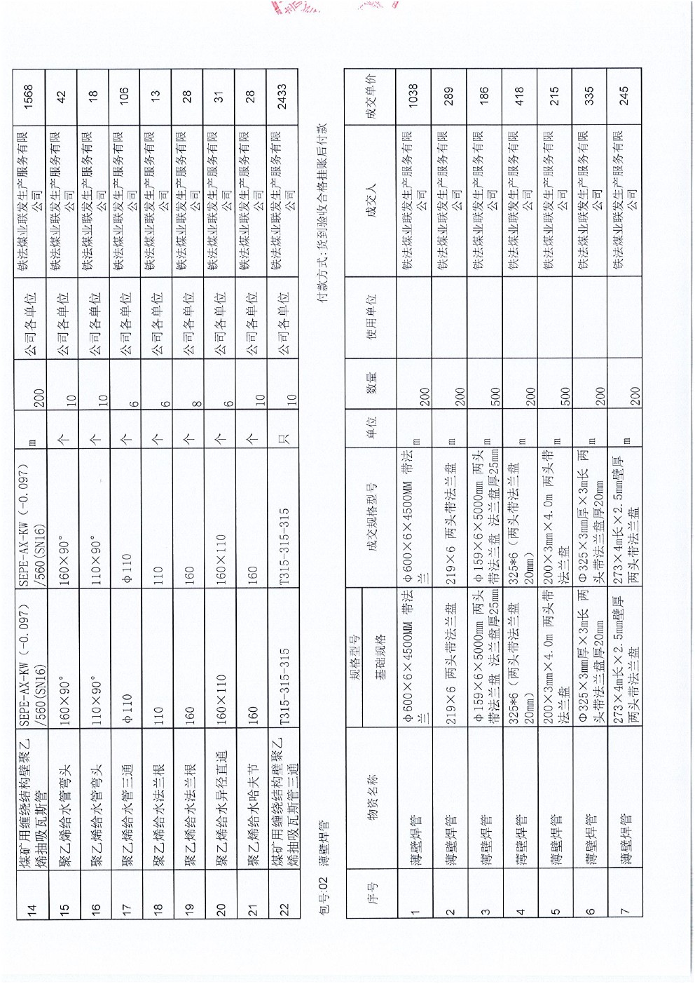
2025年11月14日材料直接采购成交通知书(0142C)