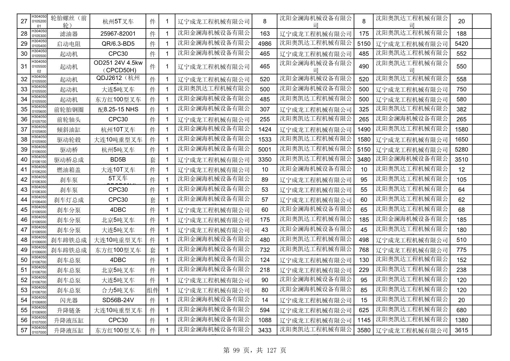
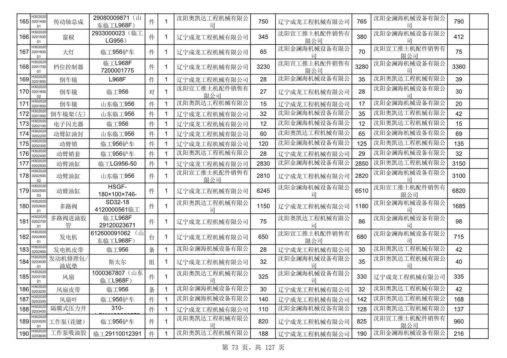
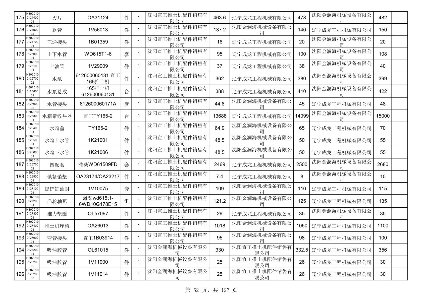
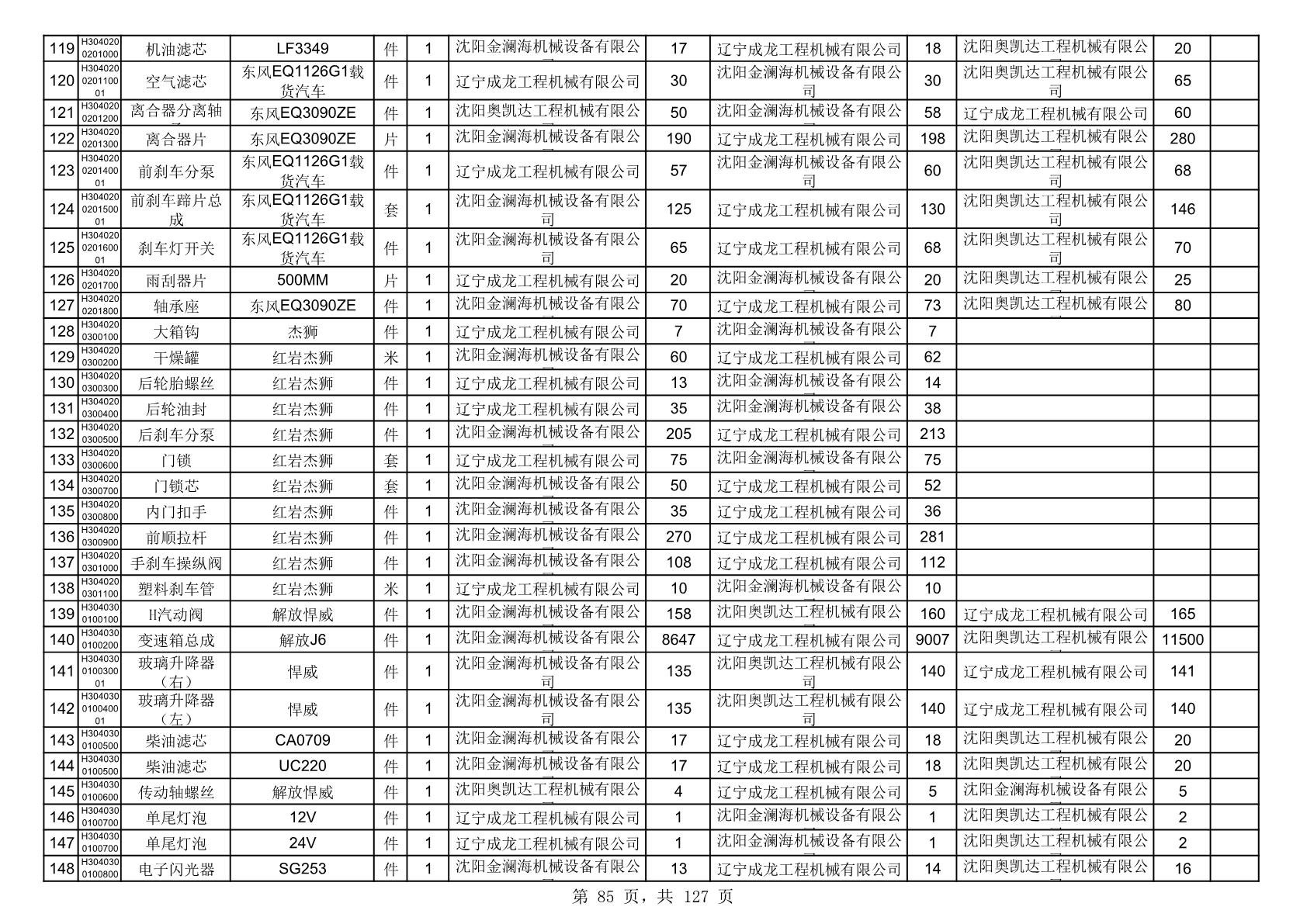
当前位置:网站首页

2025年10月30日配件中标候选人公示(0070P)