当前位置:网站首页

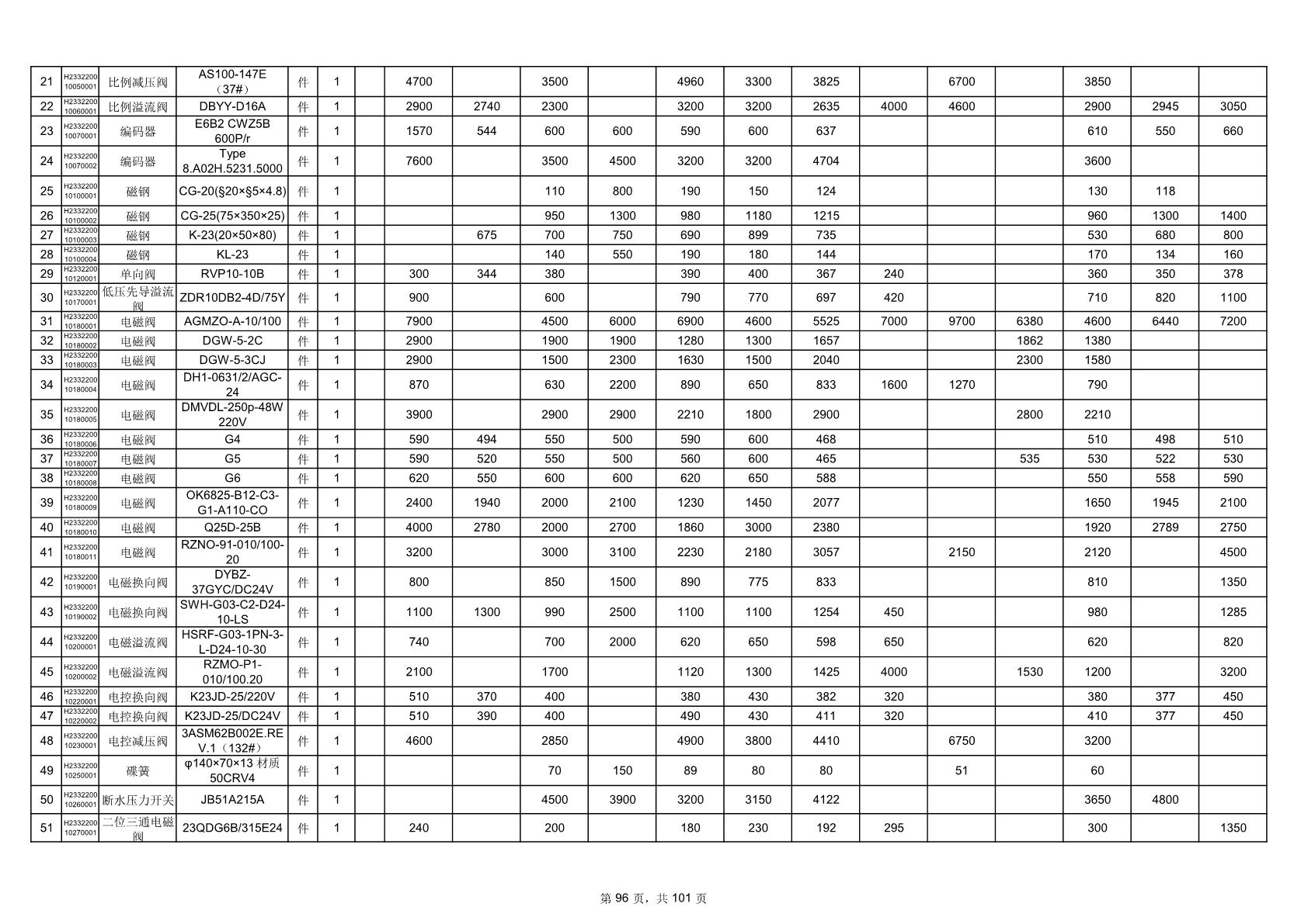
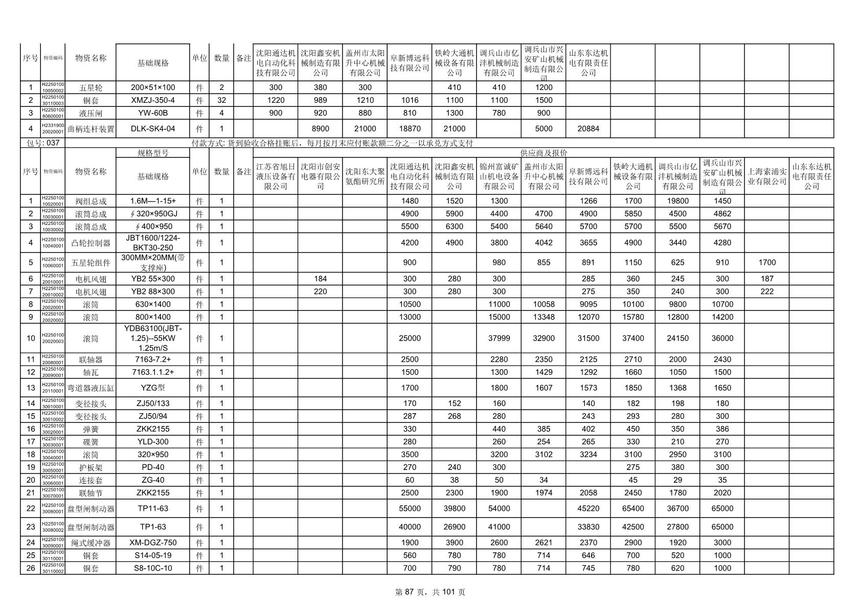
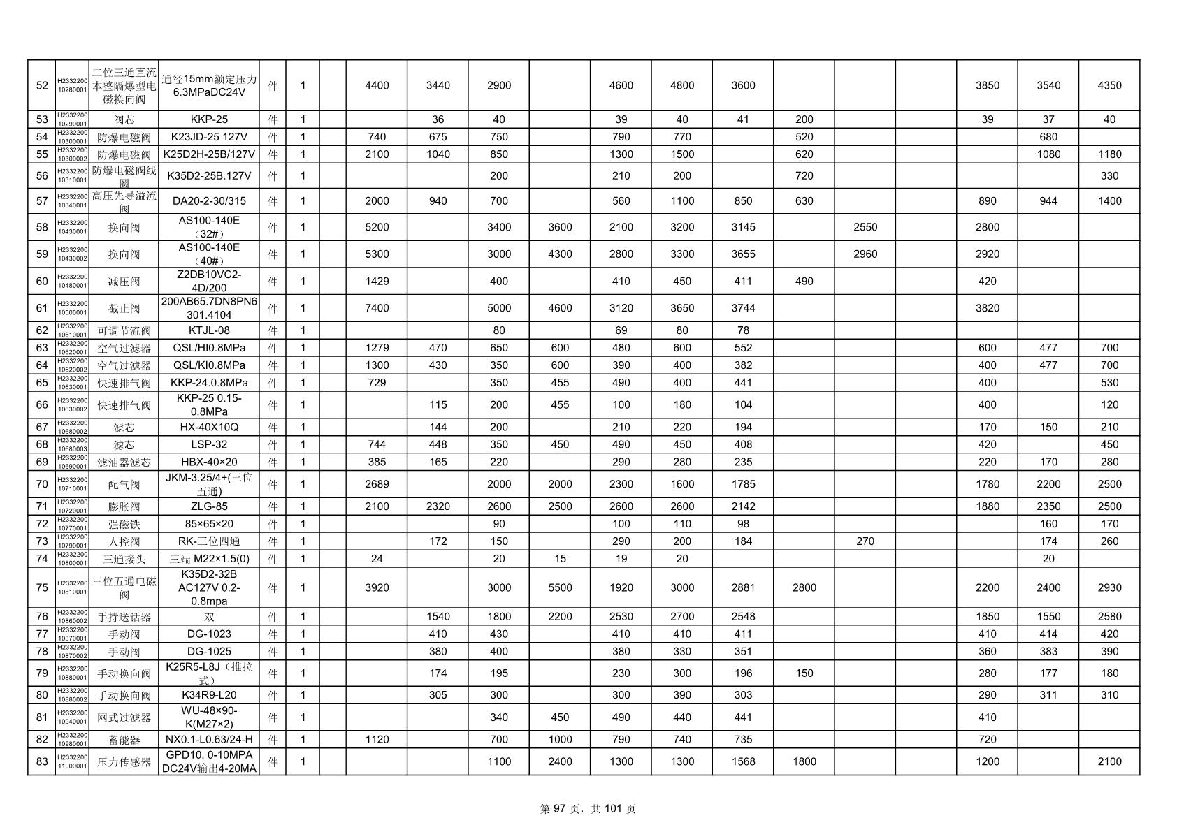
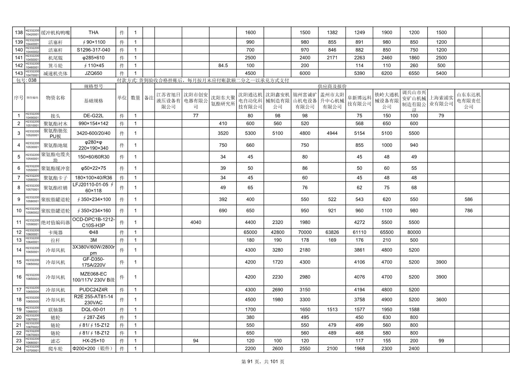
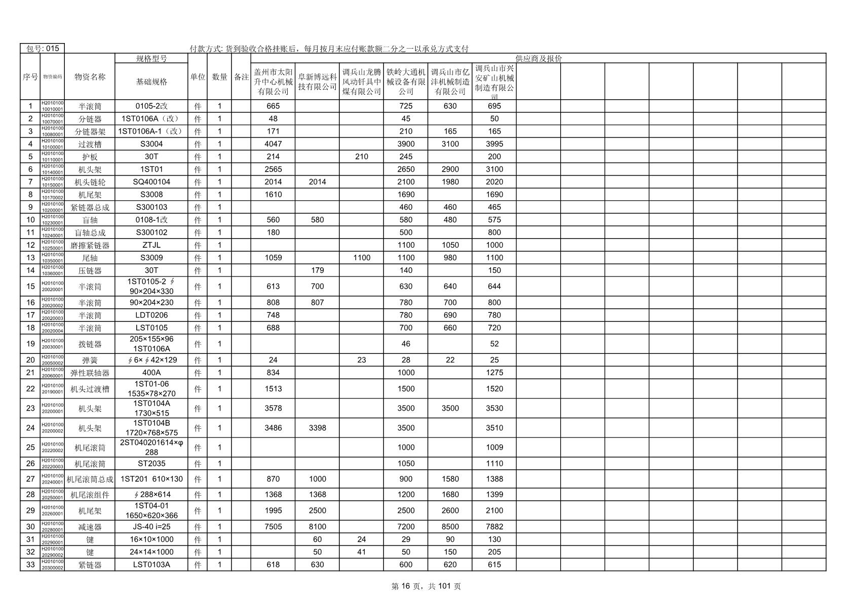
2025年10月30日配件开标记录表(0070P)