当前位置:网站首页

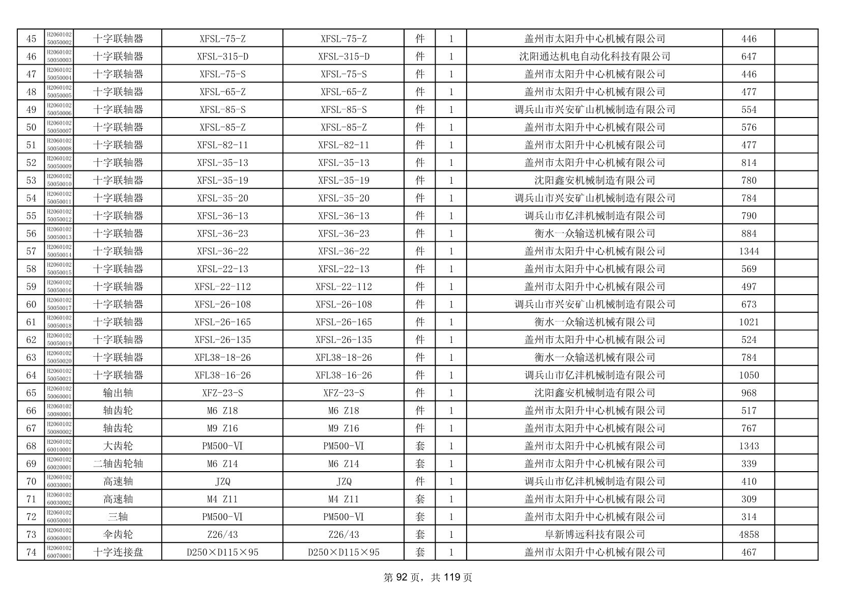
2025年9月26日配件中标结果公告(0062P)