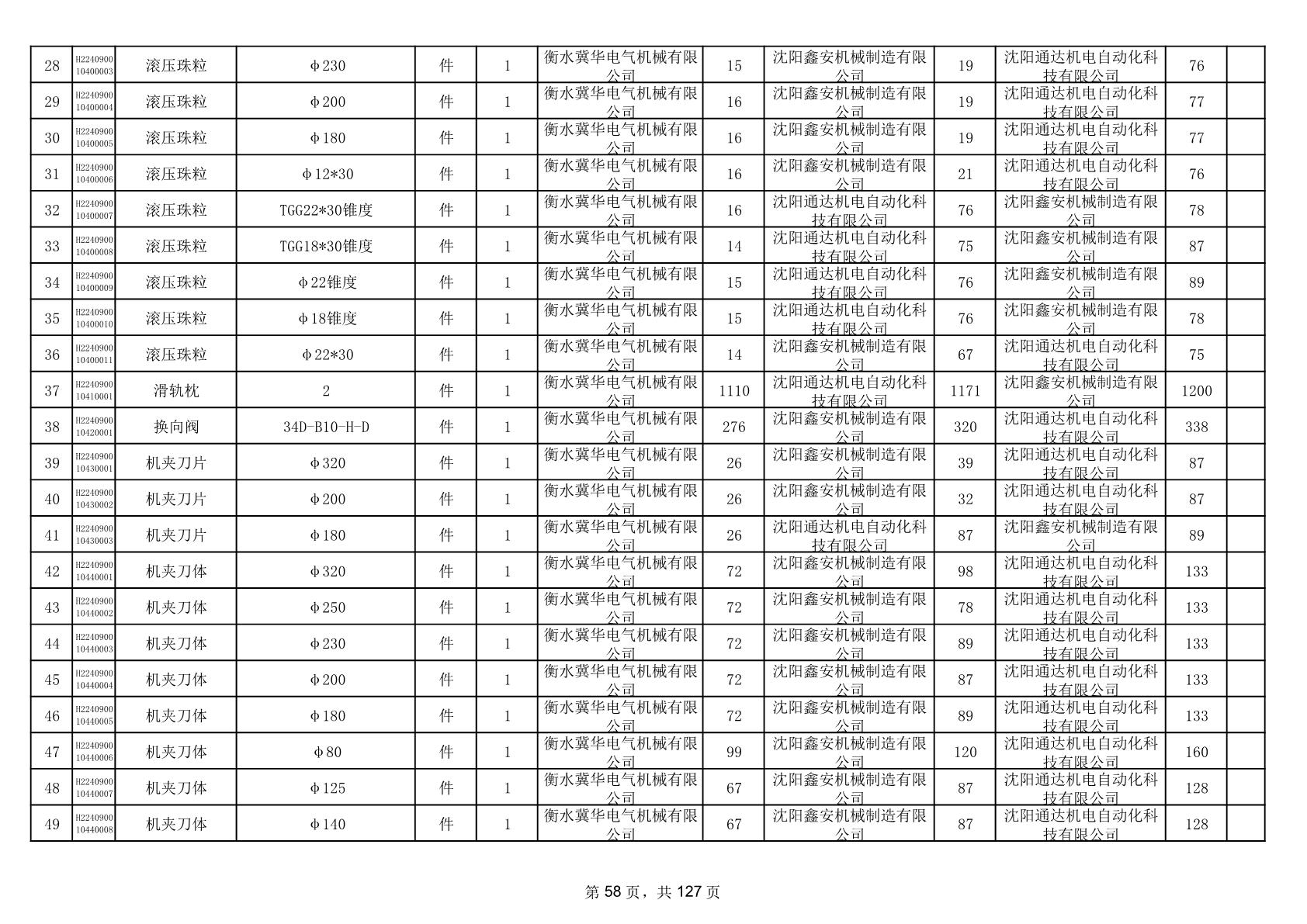
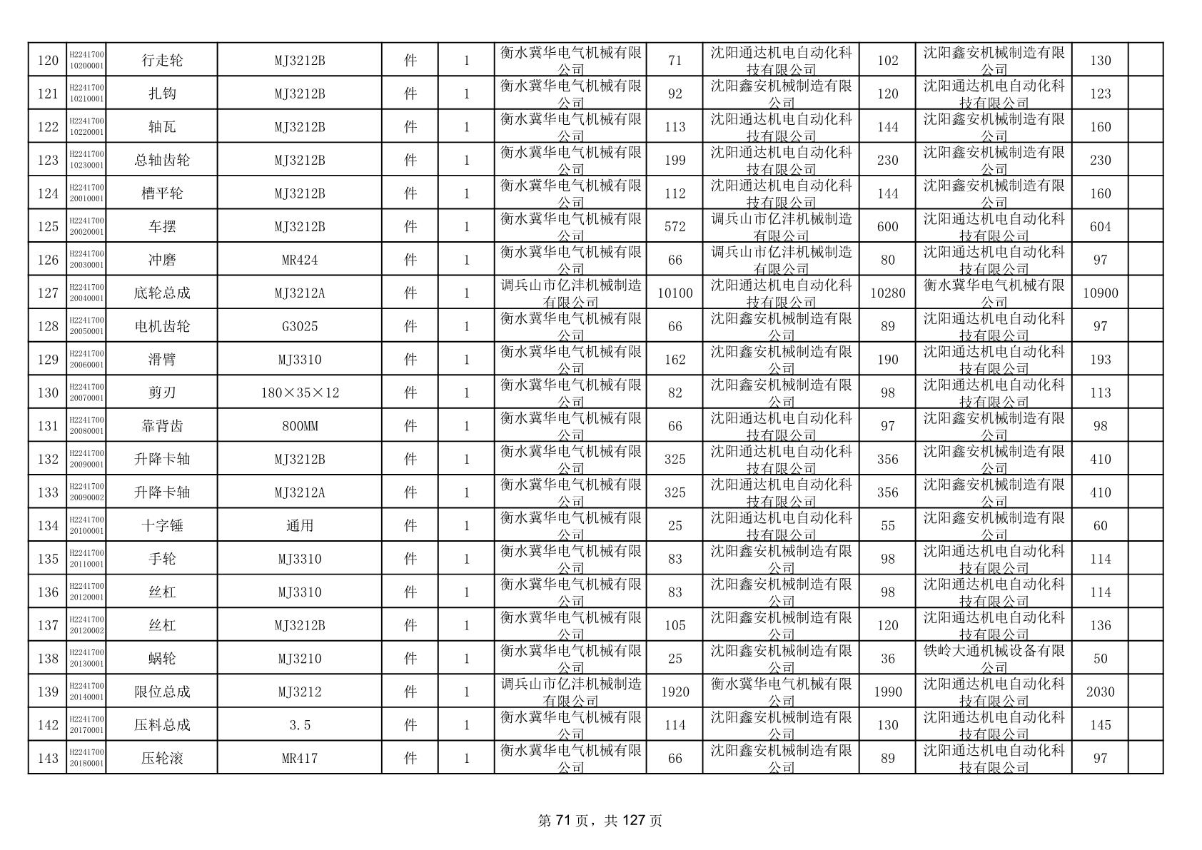
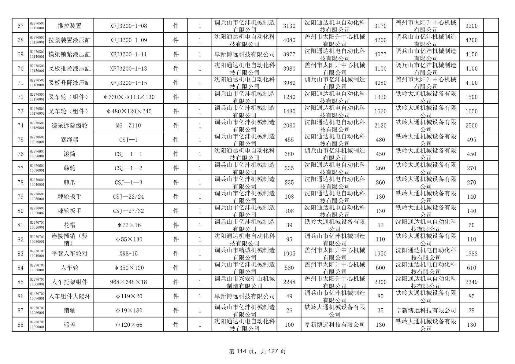
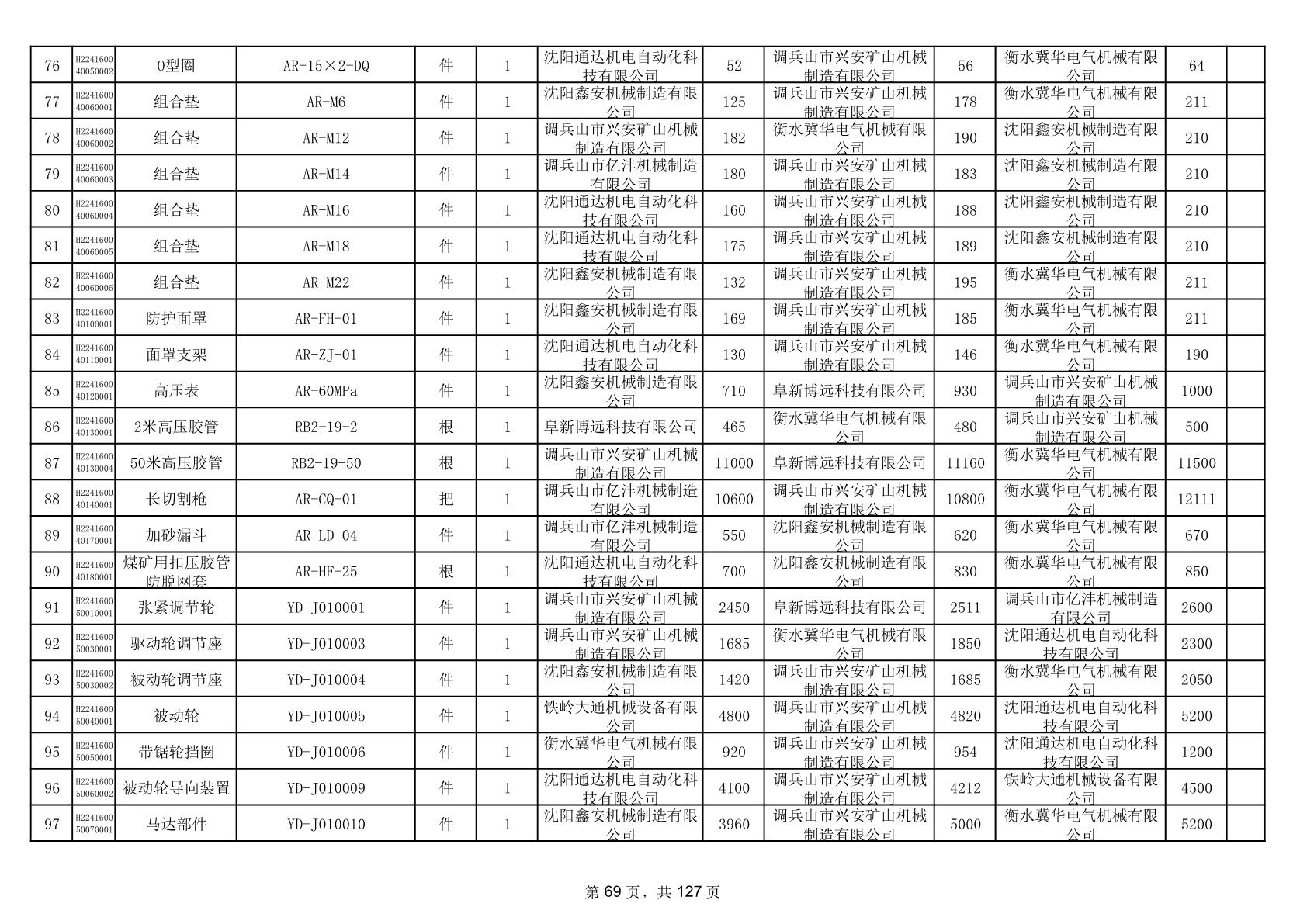
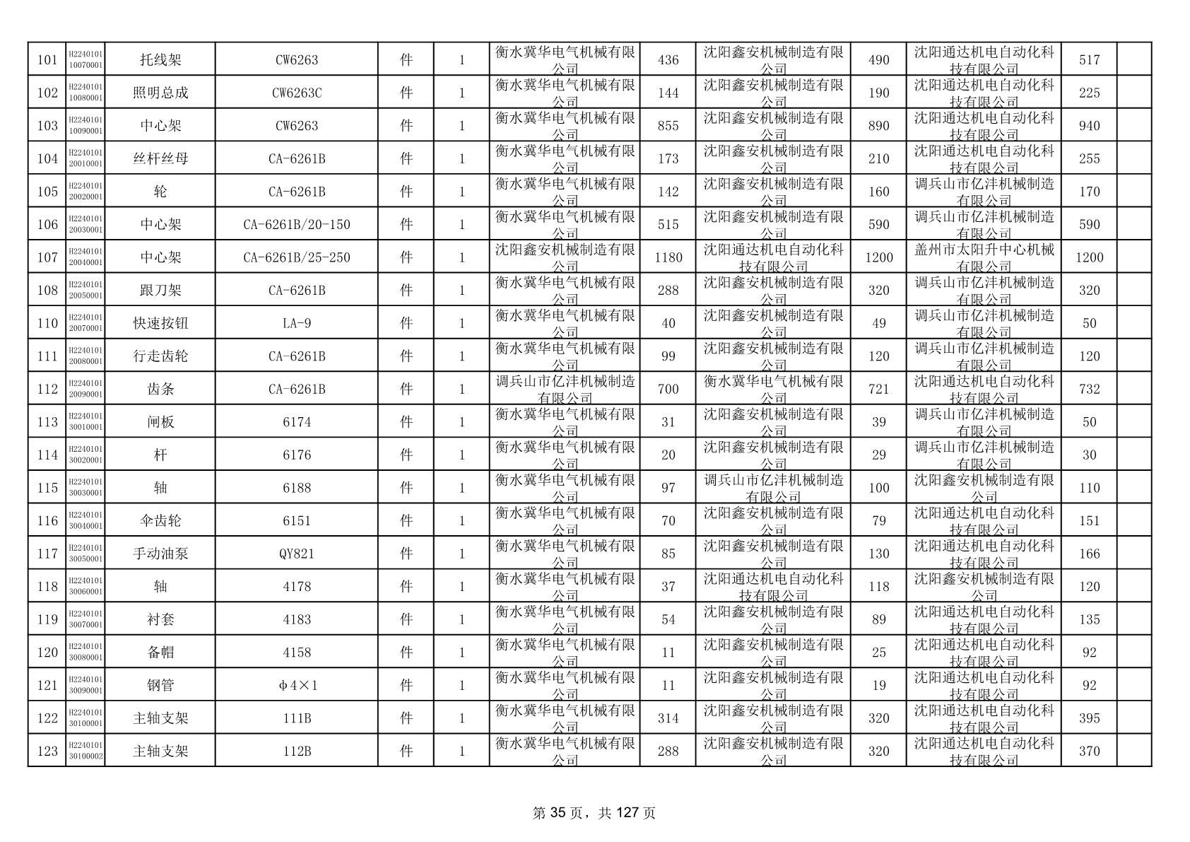
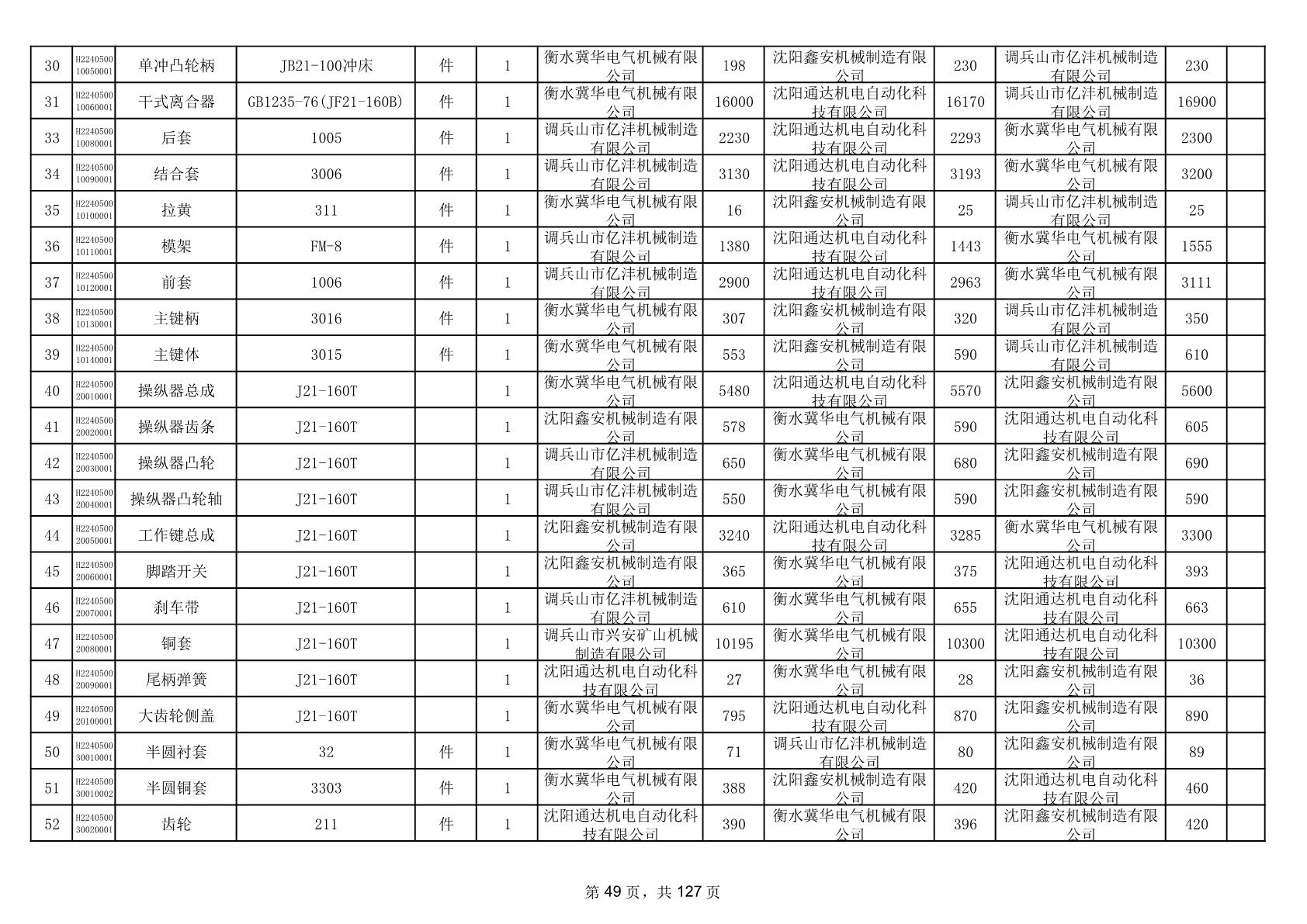
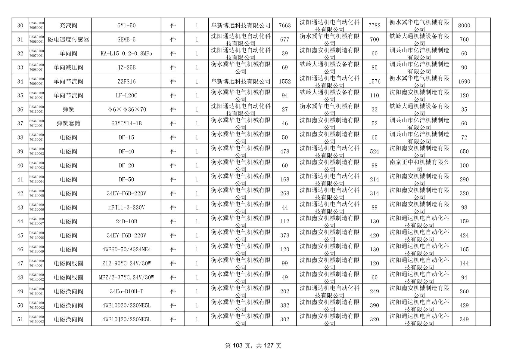
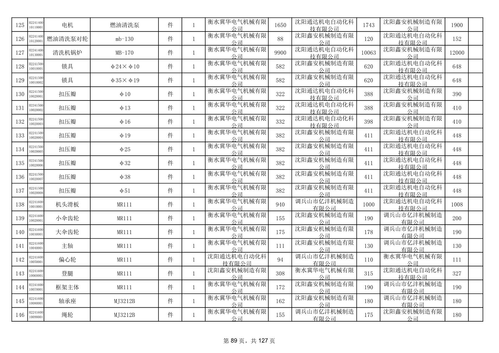
当前位置:网站首页

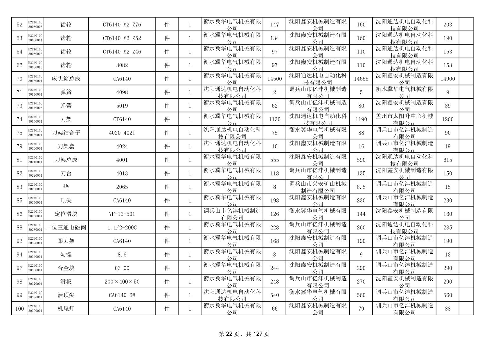
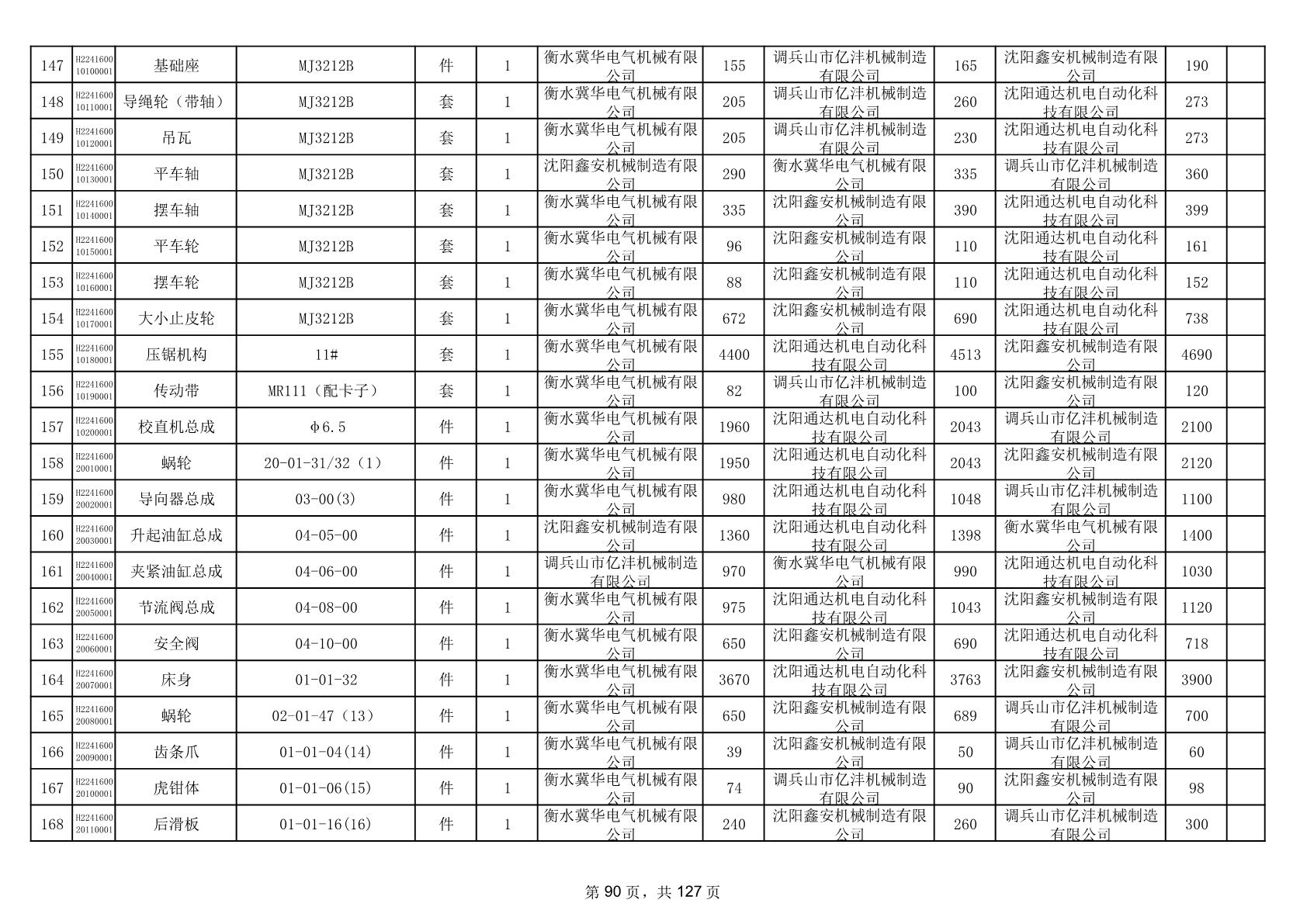
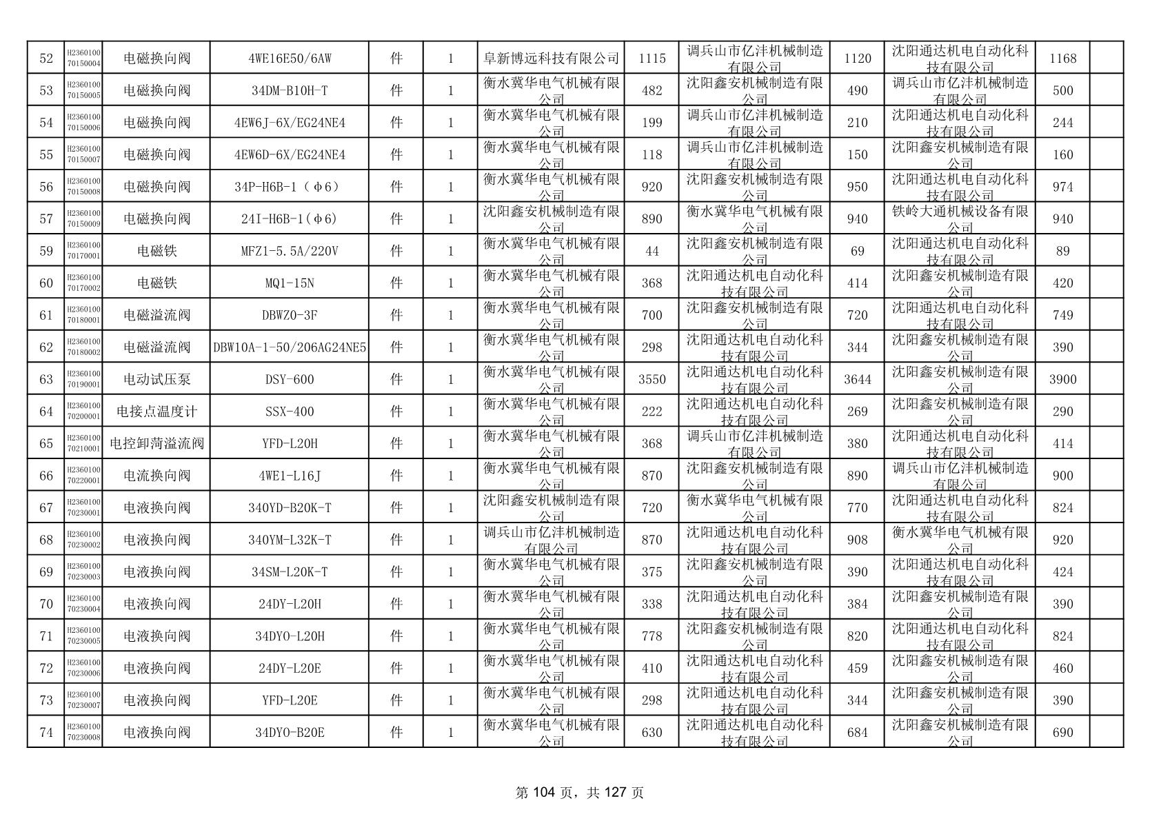
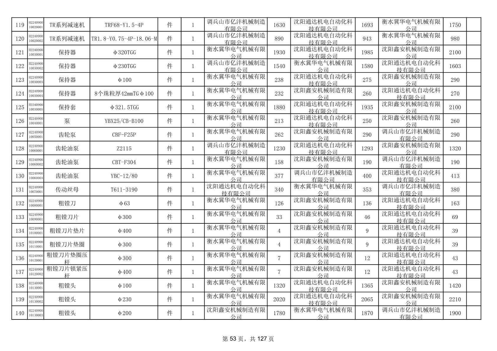
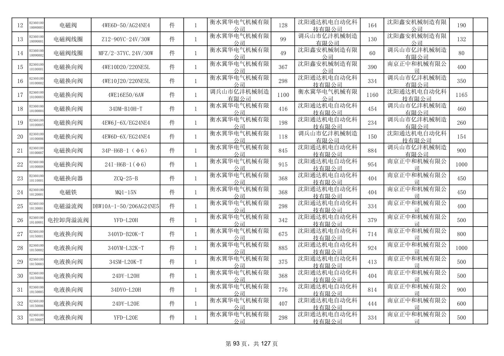
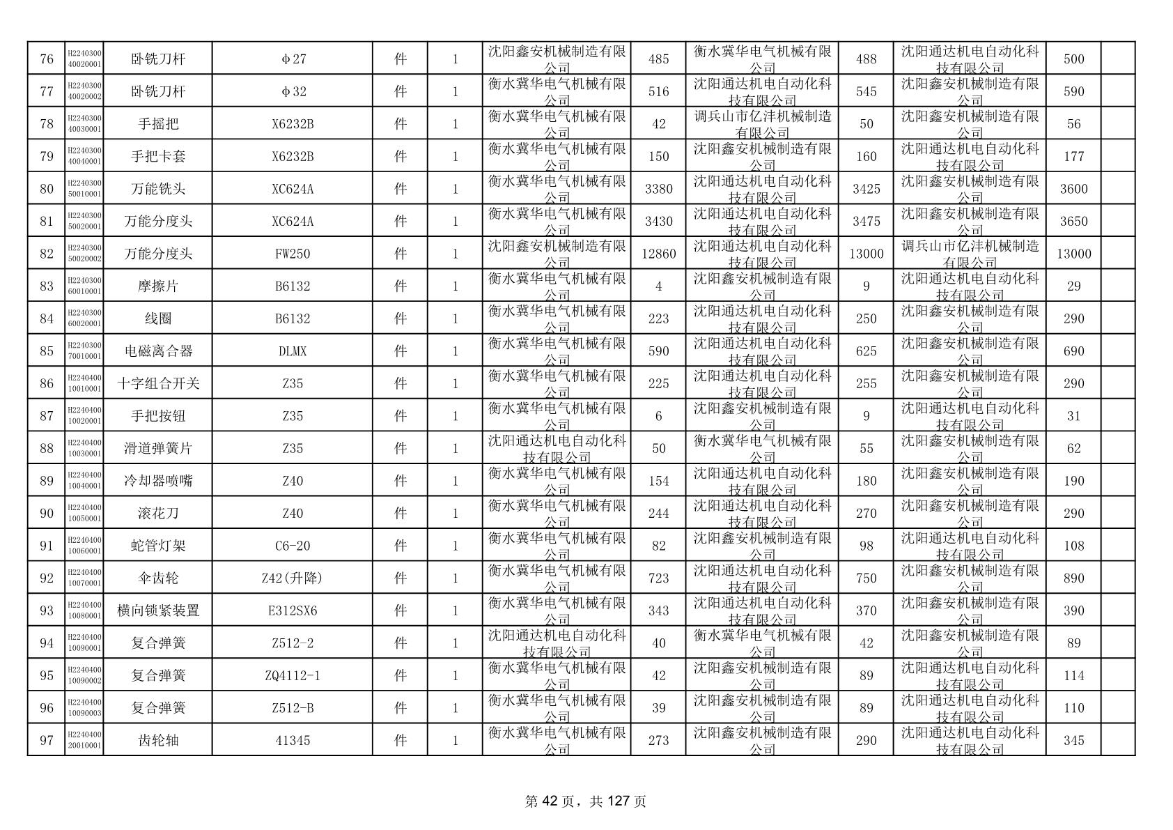
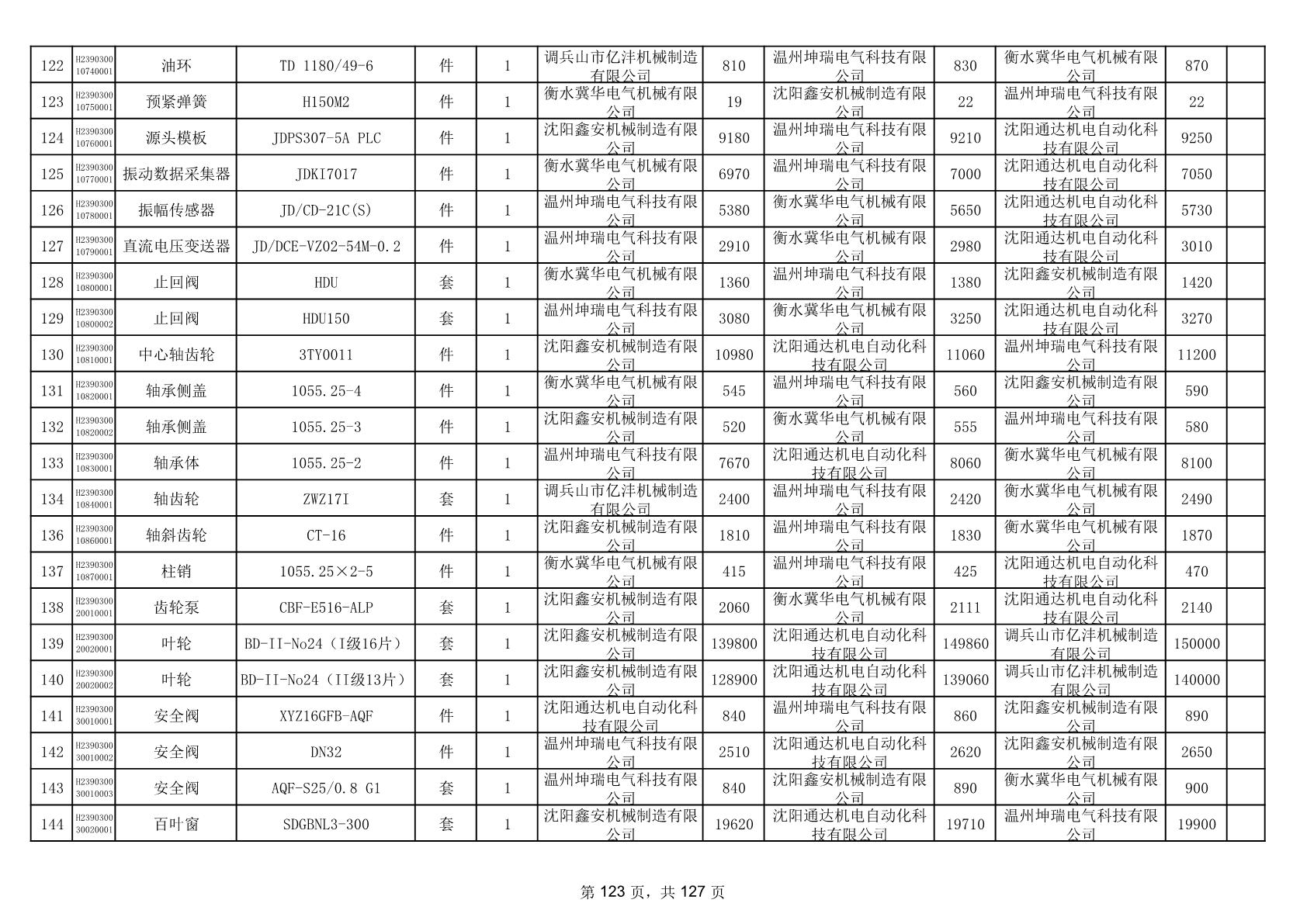
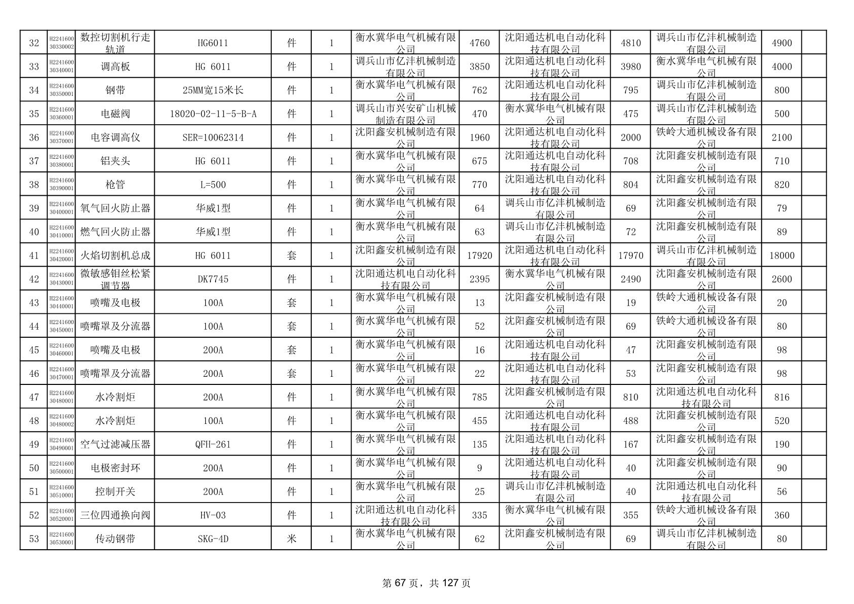
2025年9月29日配件中标候选人公示(0063P)