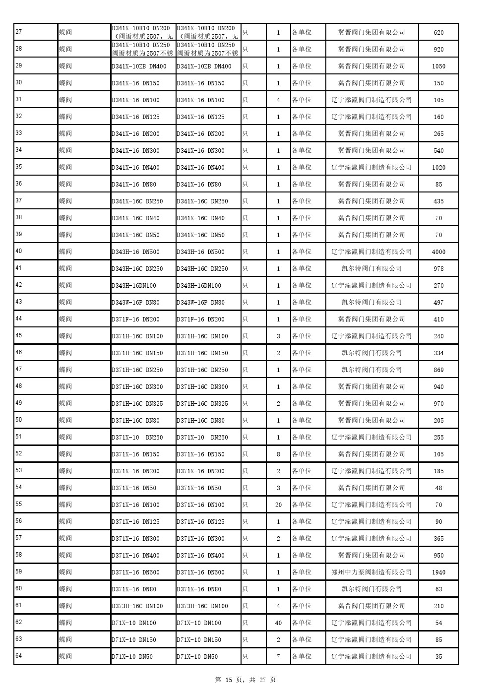
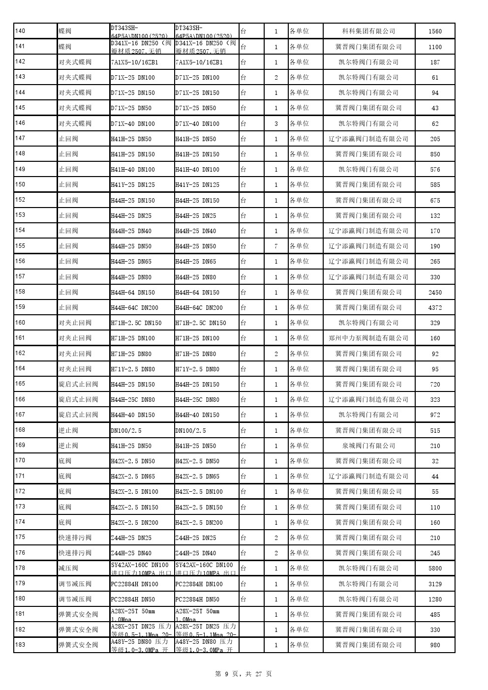
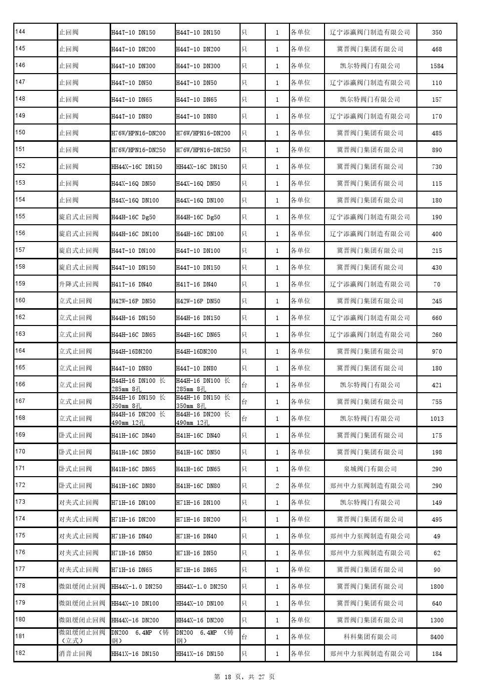
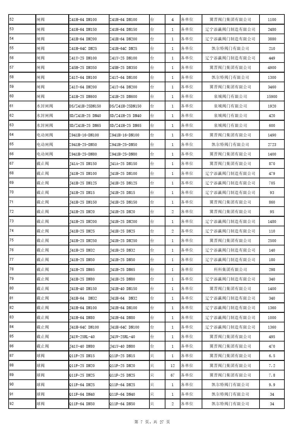
当前位置:网站首页

2025年9月22日材料公开招标中标结果公告(0105C)