当前位置:网站首页

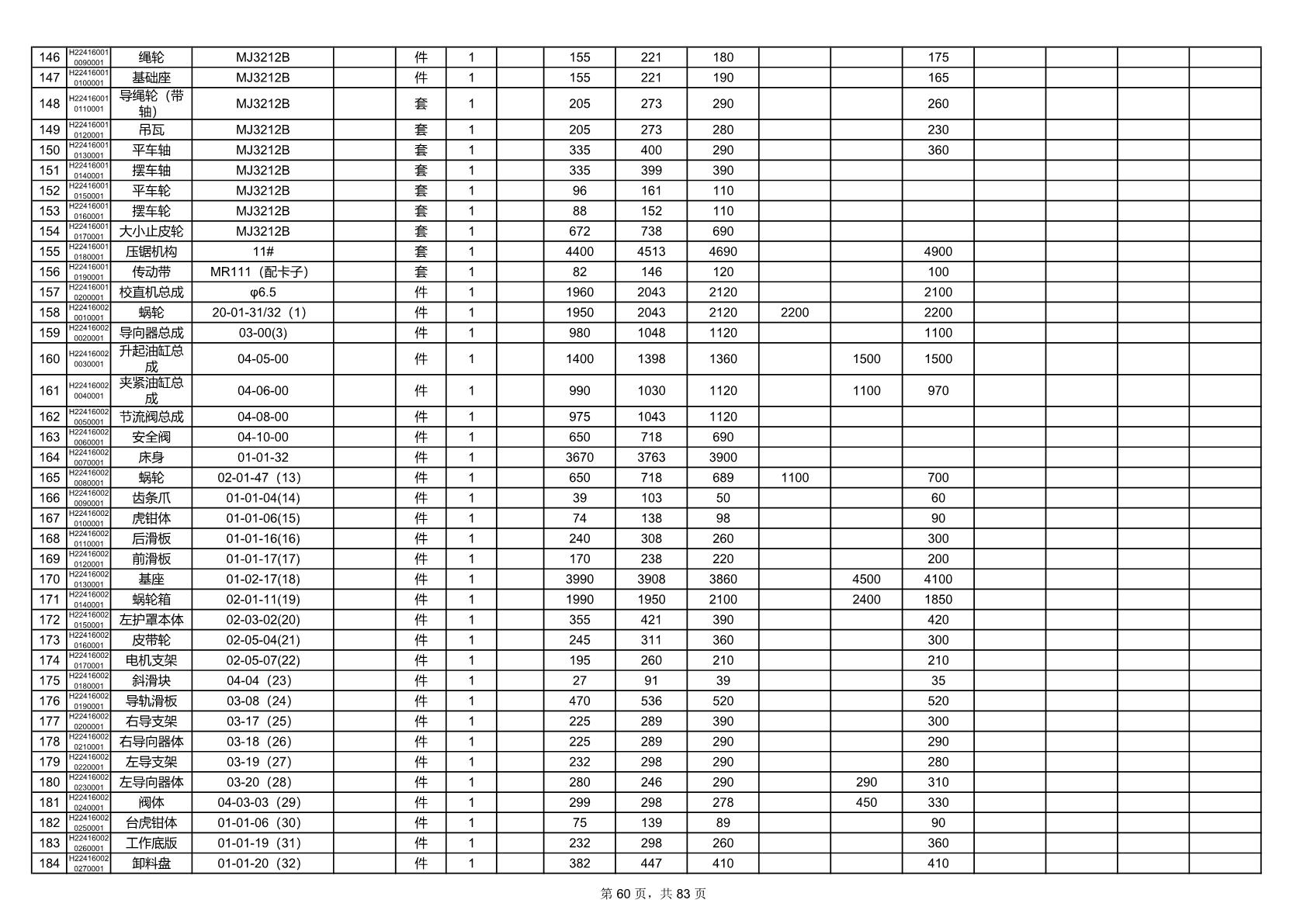
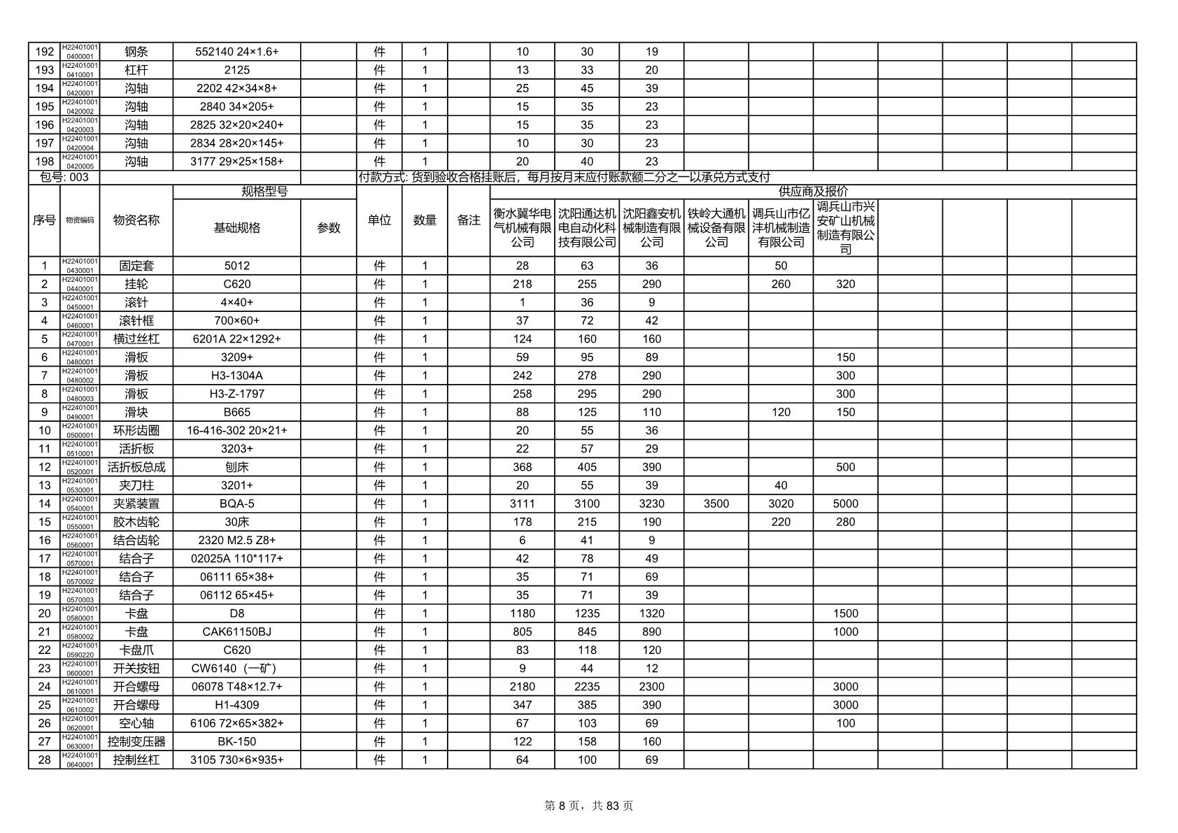
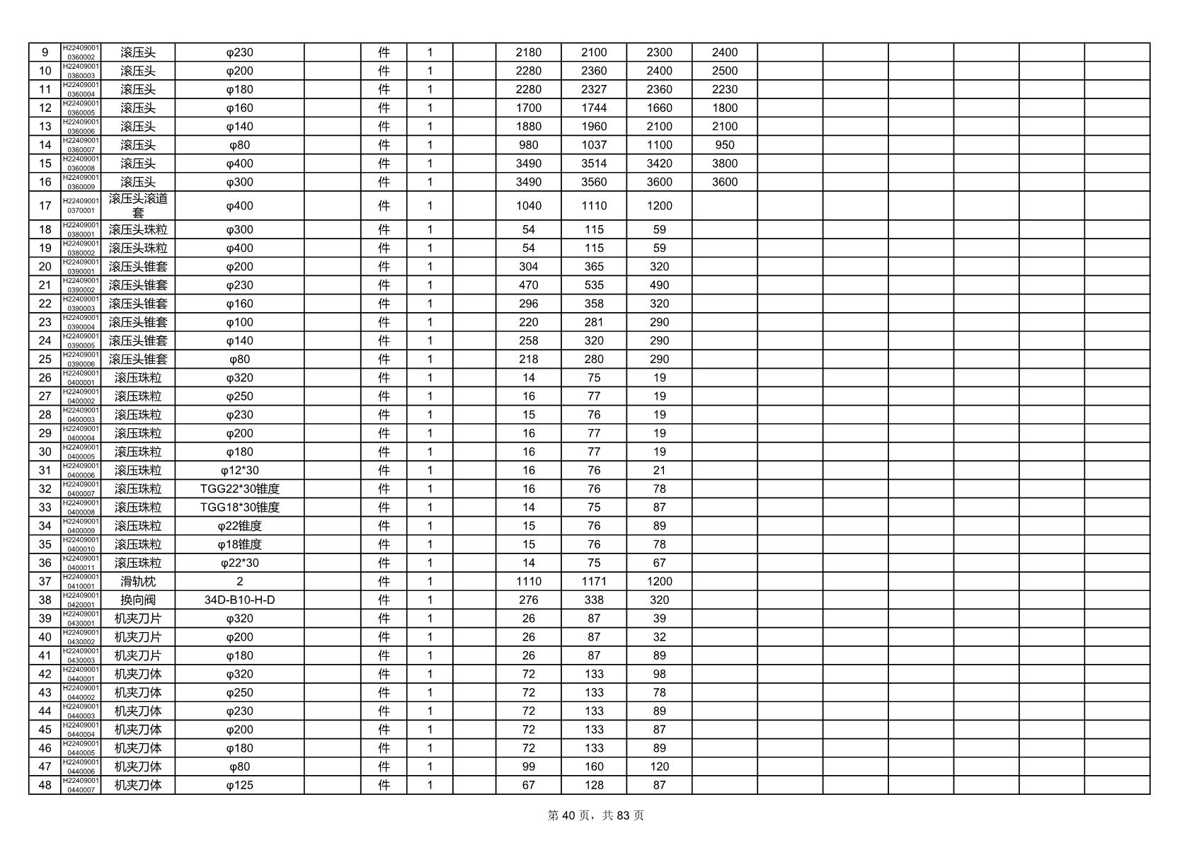
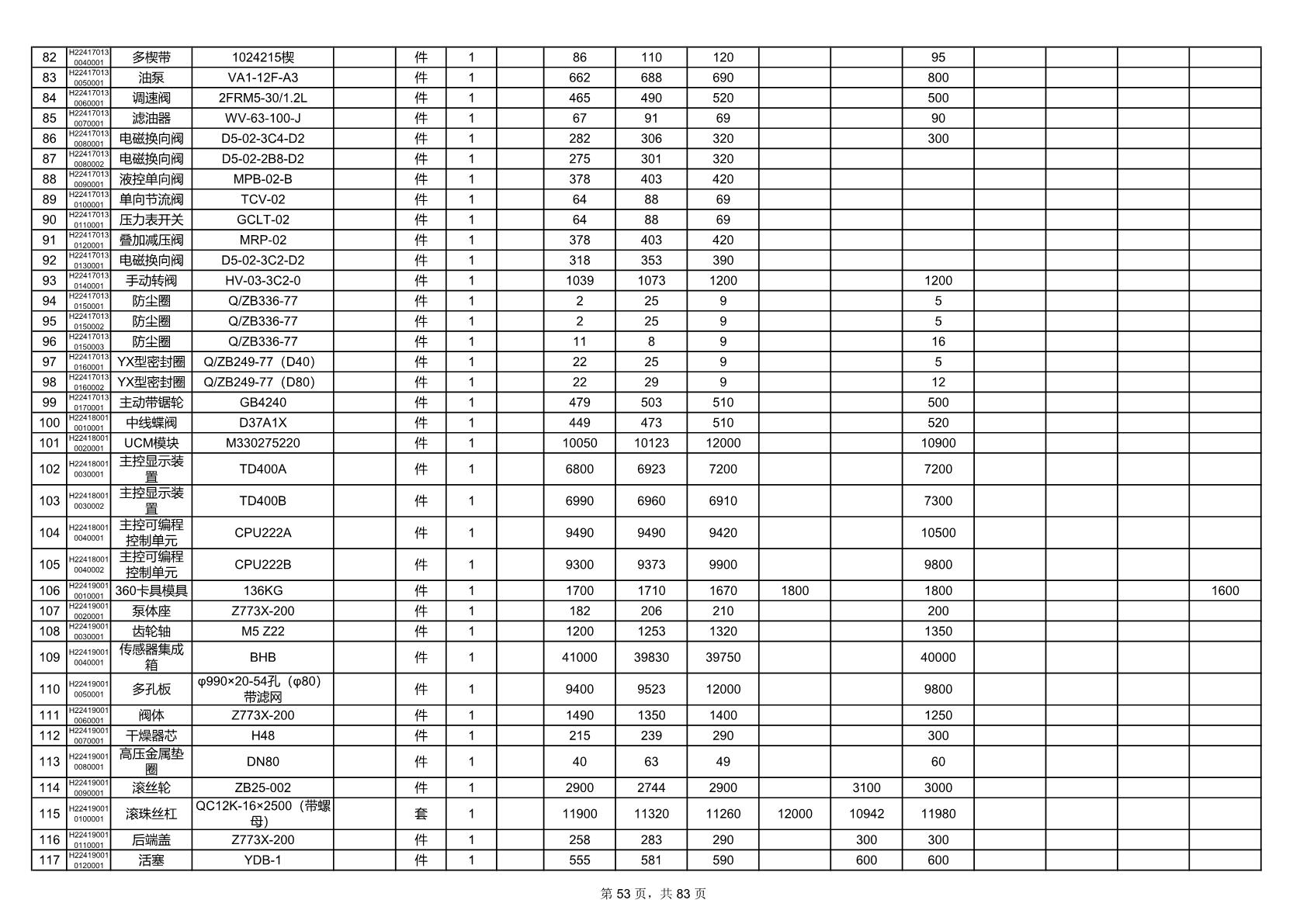
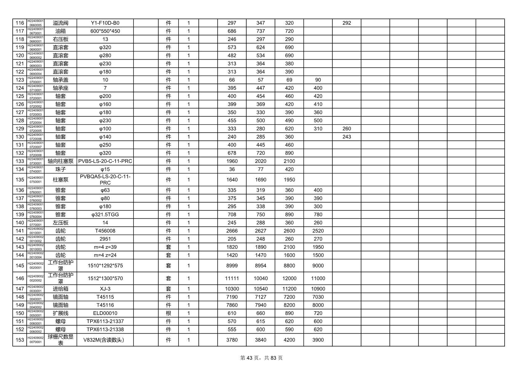
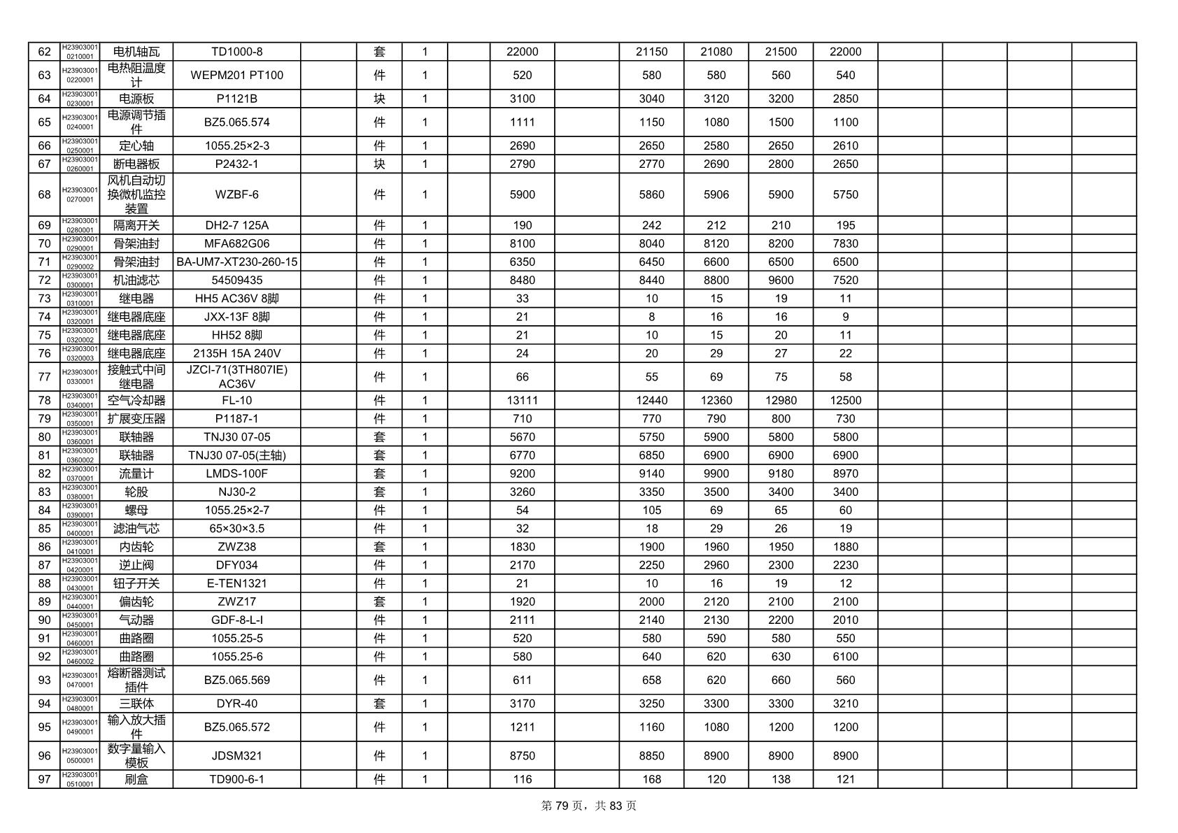
2025年9月29日配件开标记录表(0063P)