当前位置:网站首页

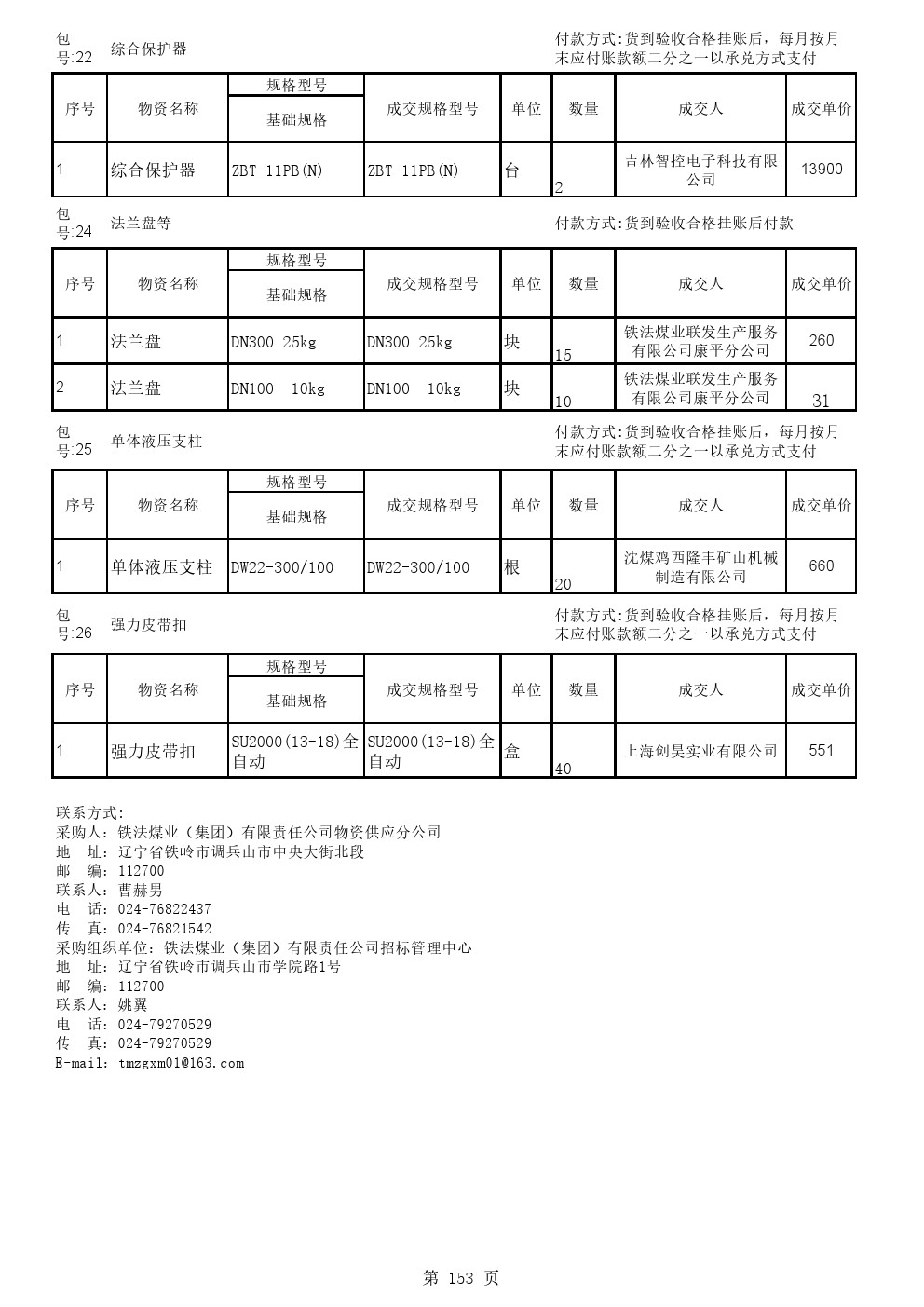
2025年9月17日材料直接采购成交结果公告(0106C)