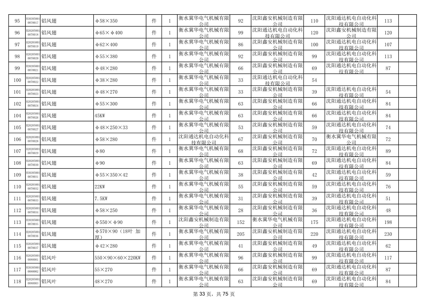
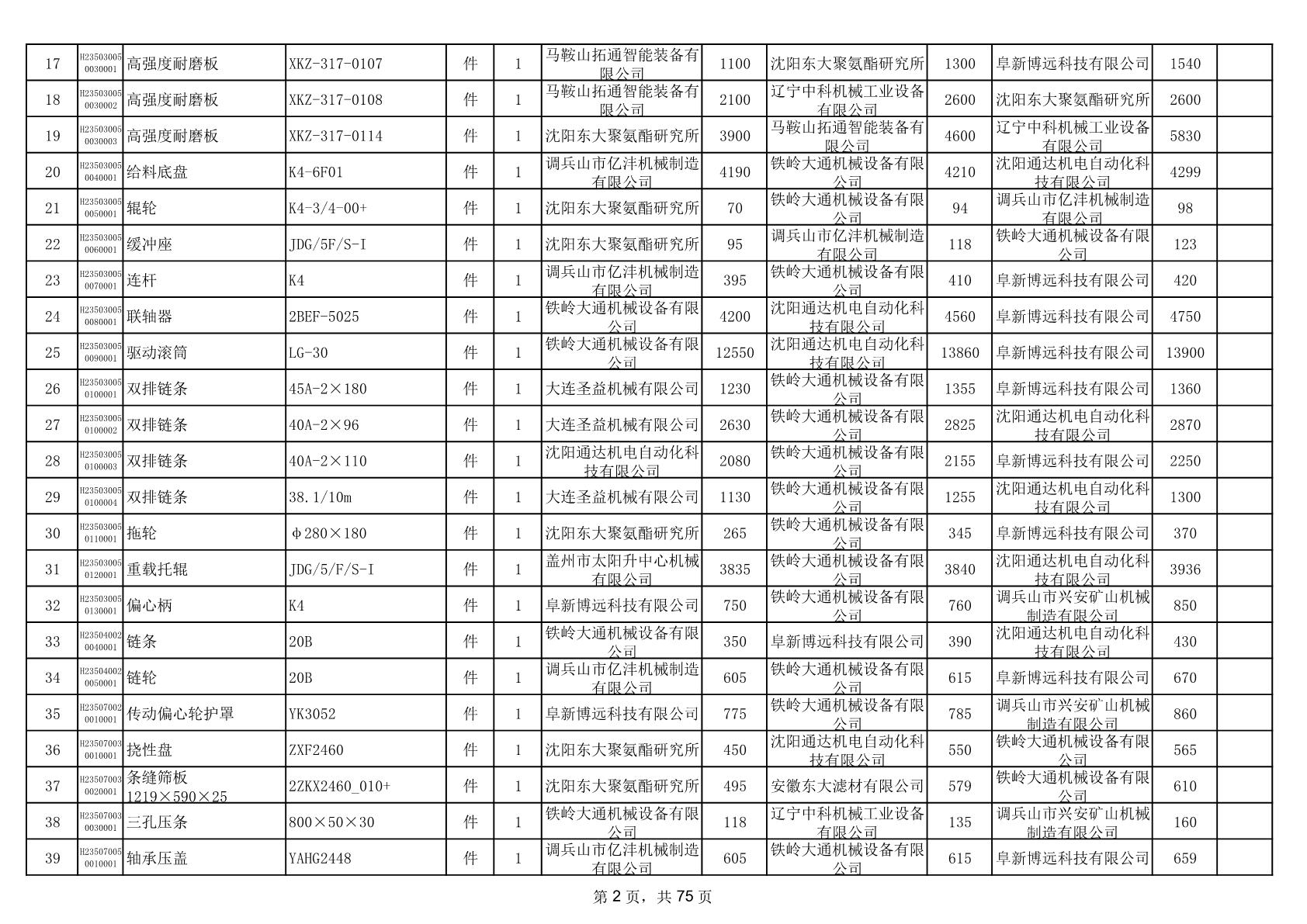
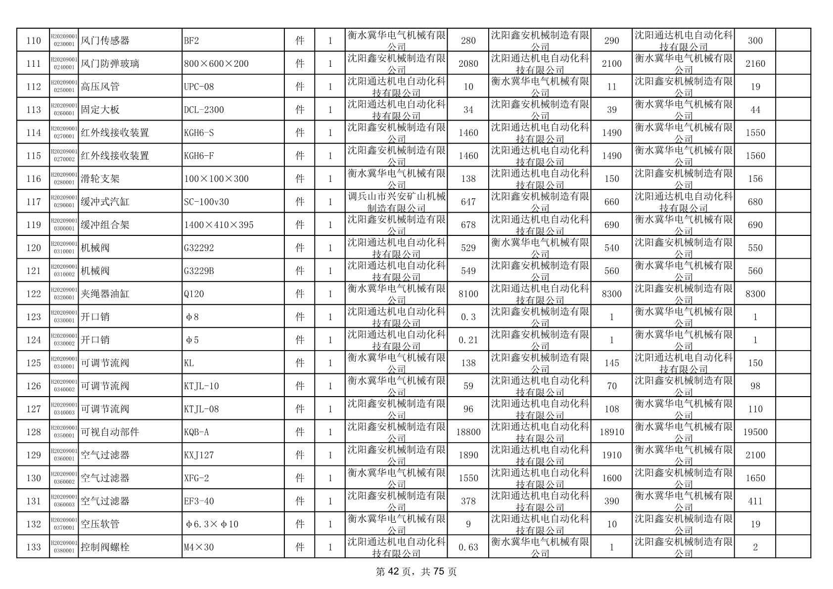
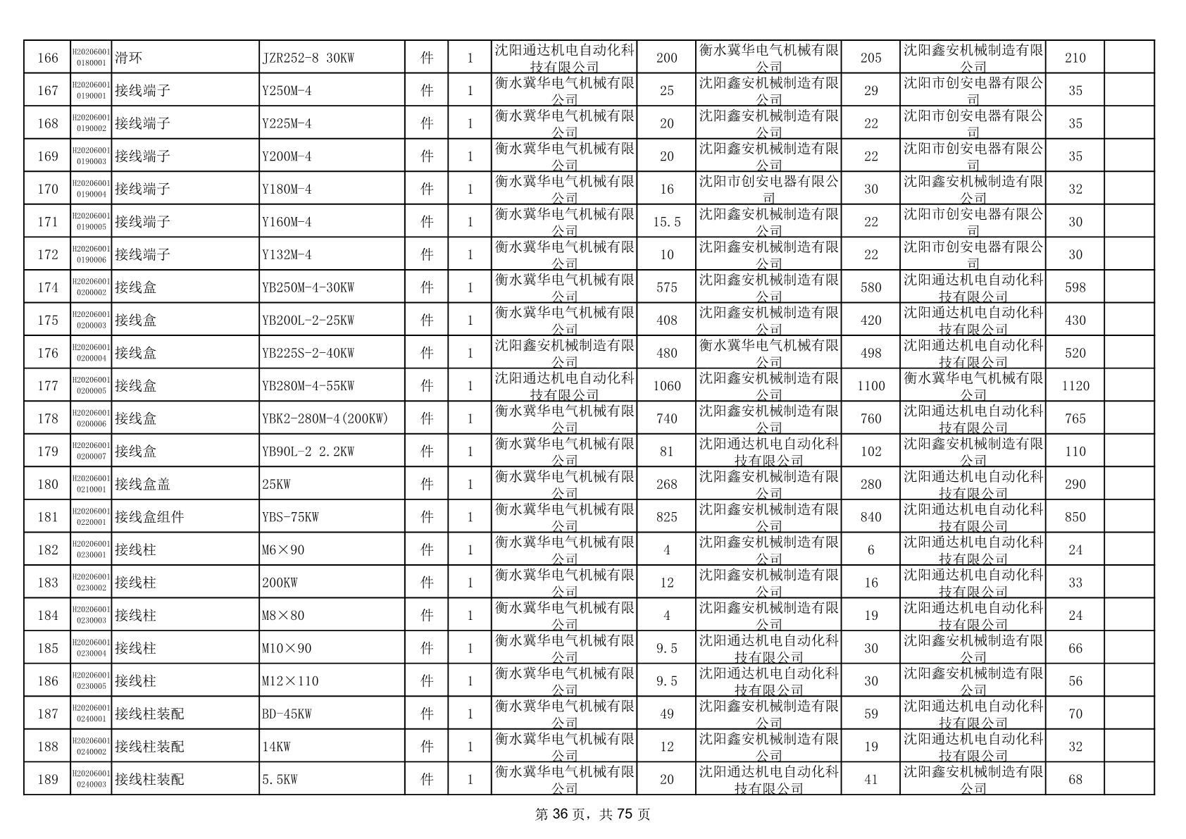
当前位置:网站首页

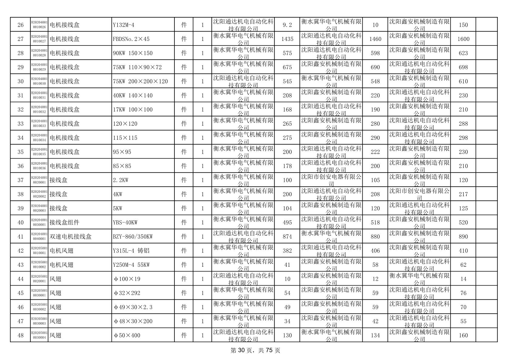
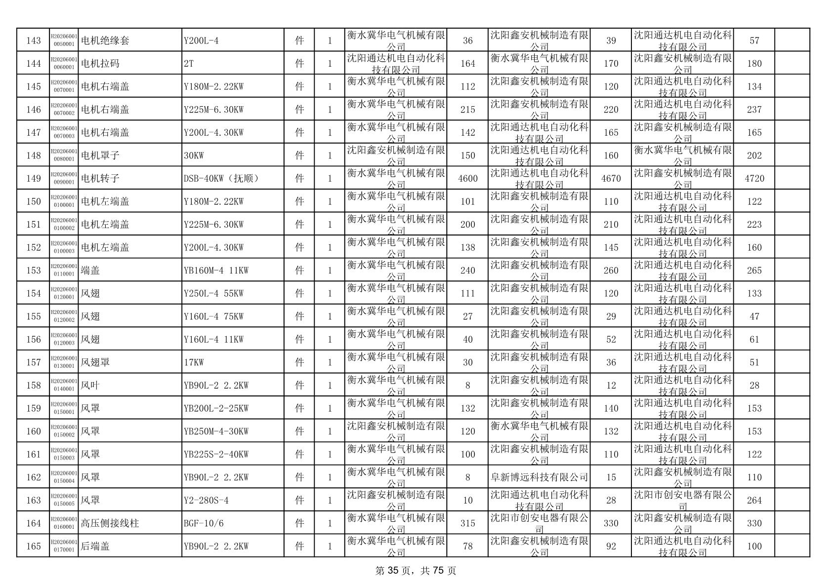
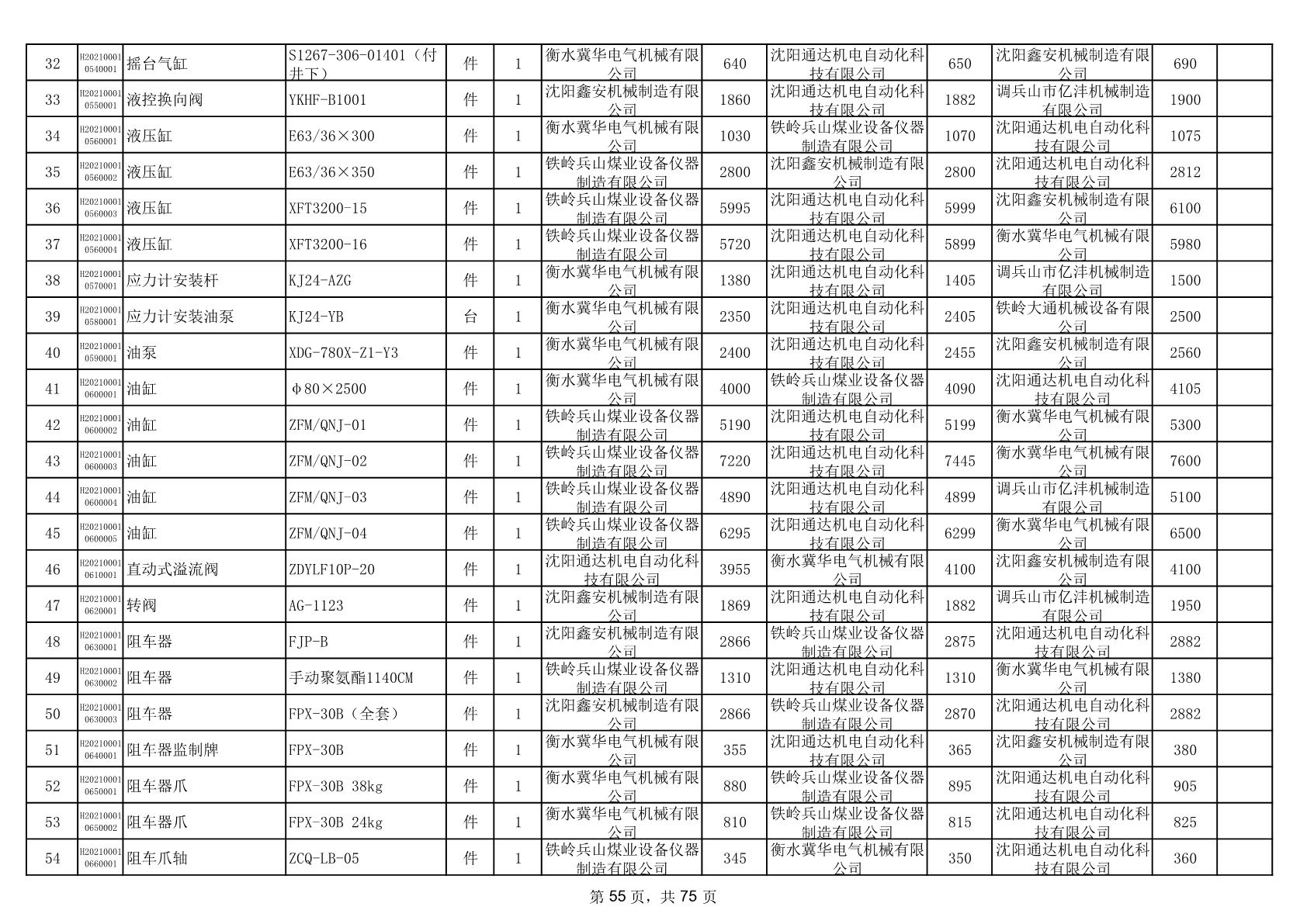
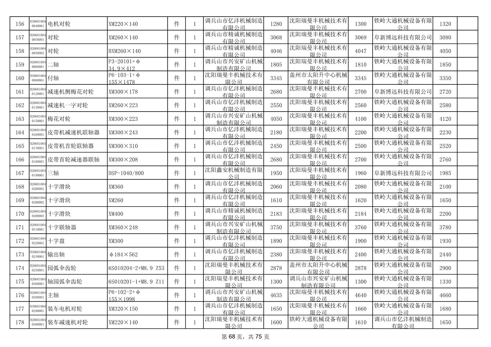
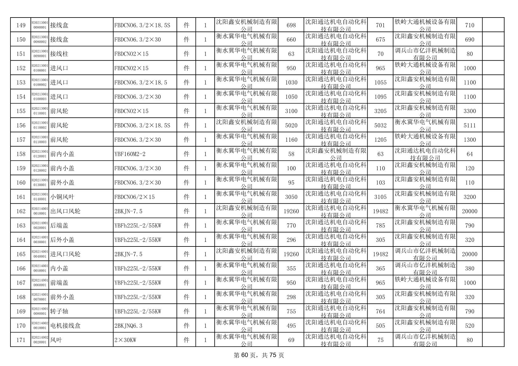
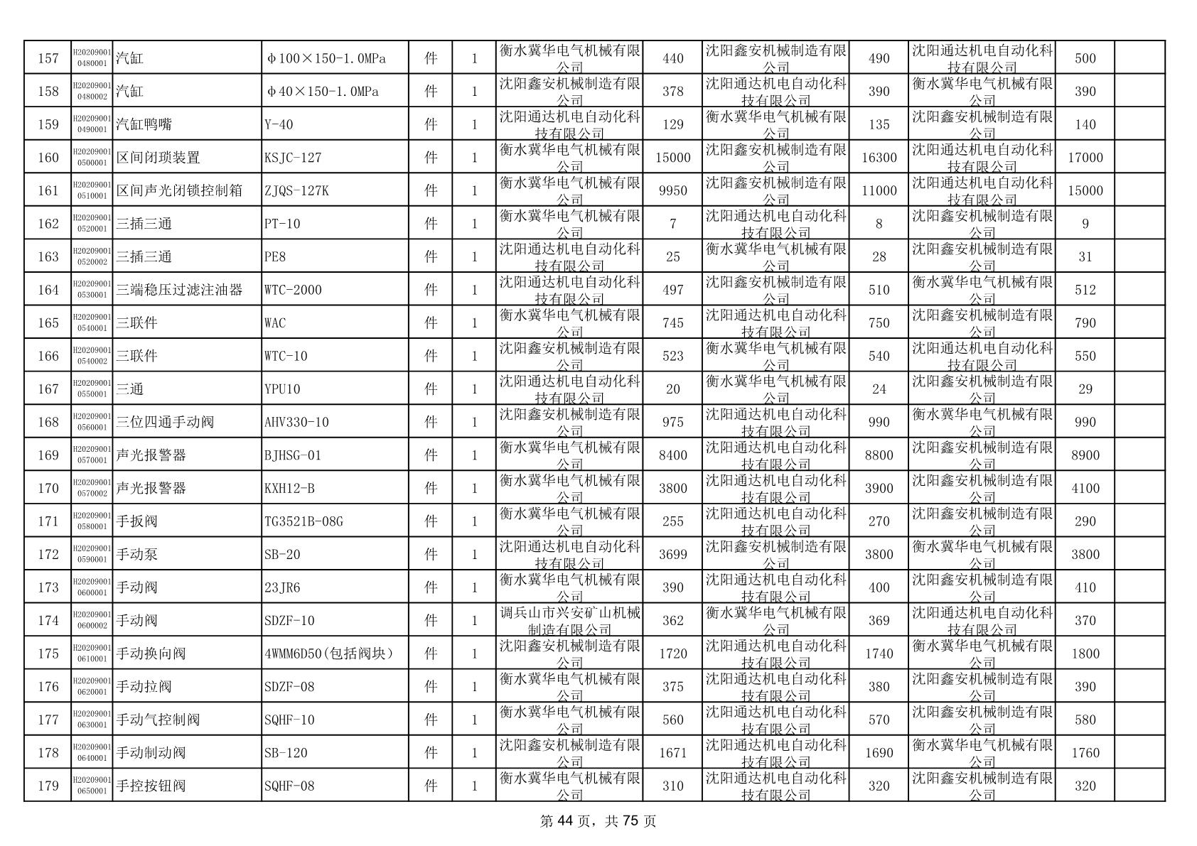
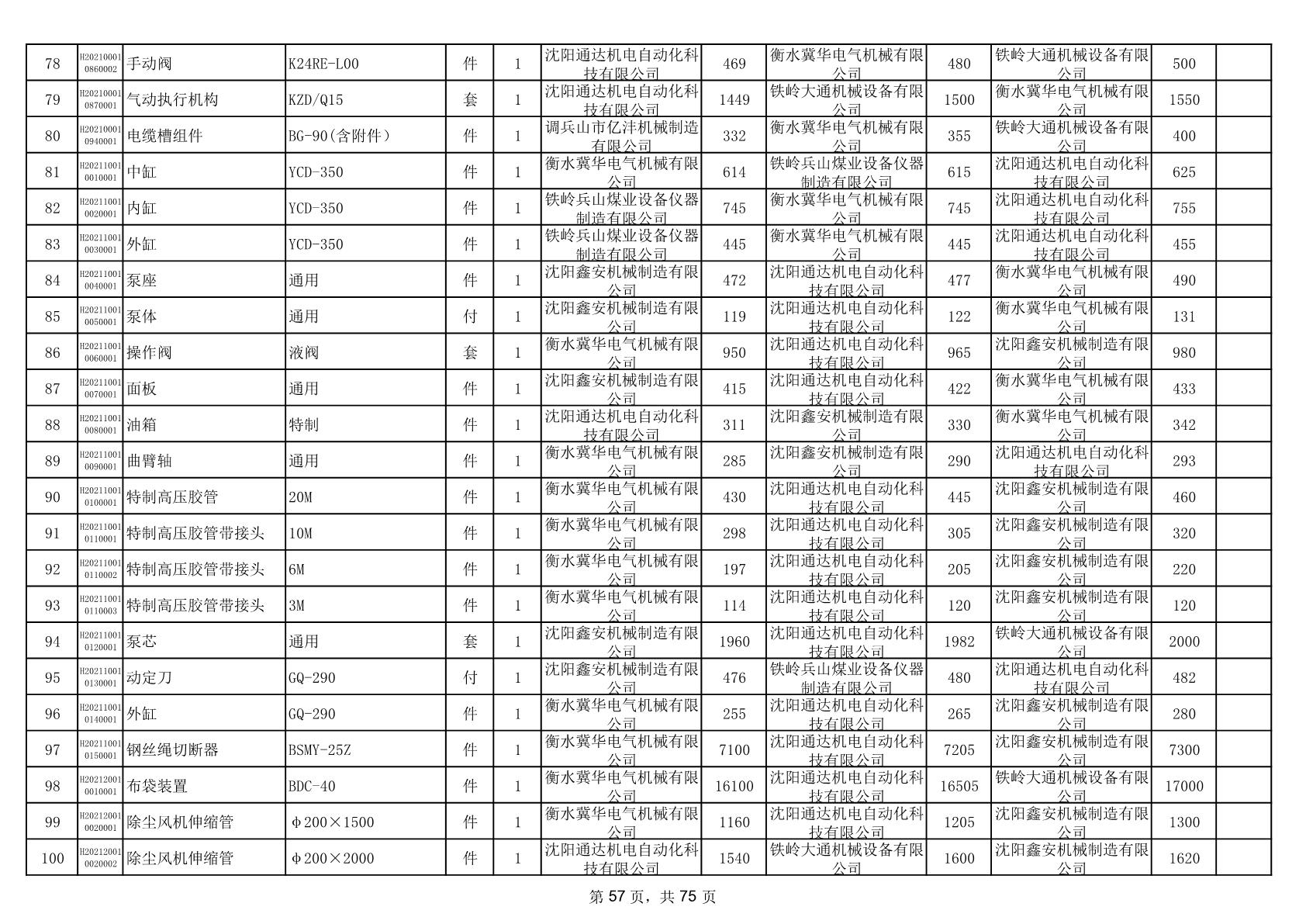
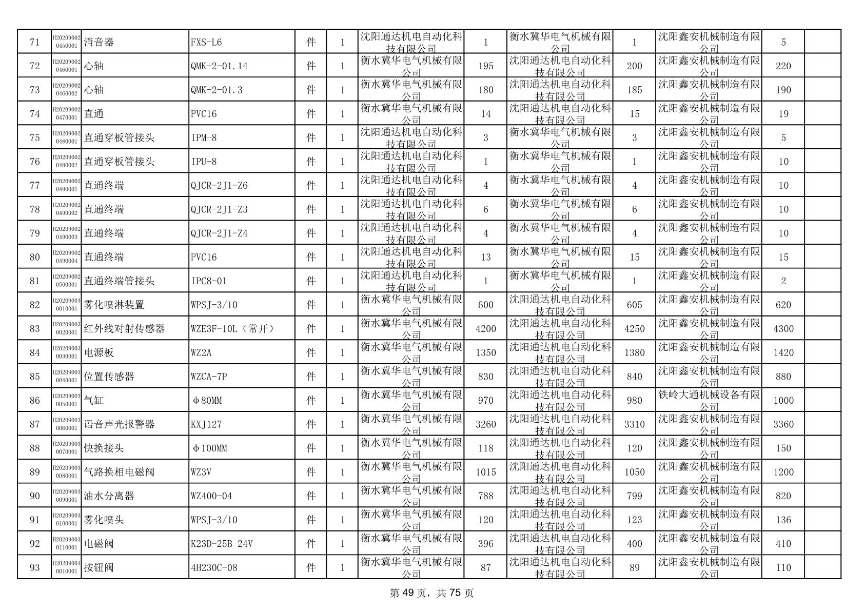
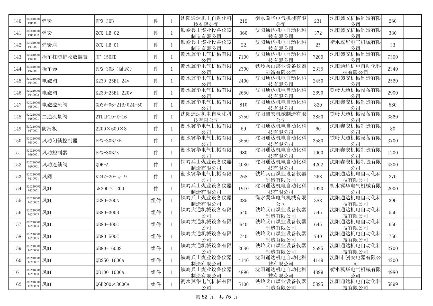
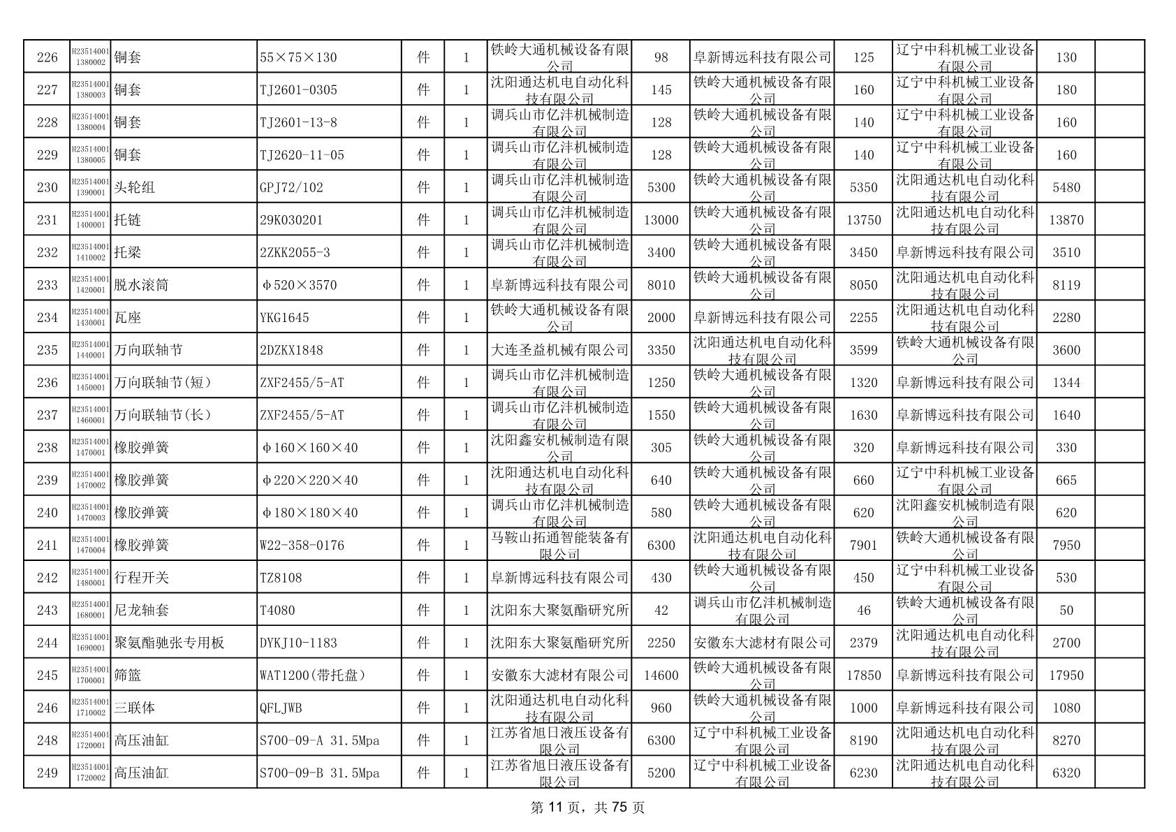
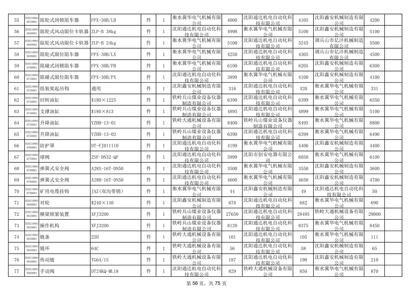
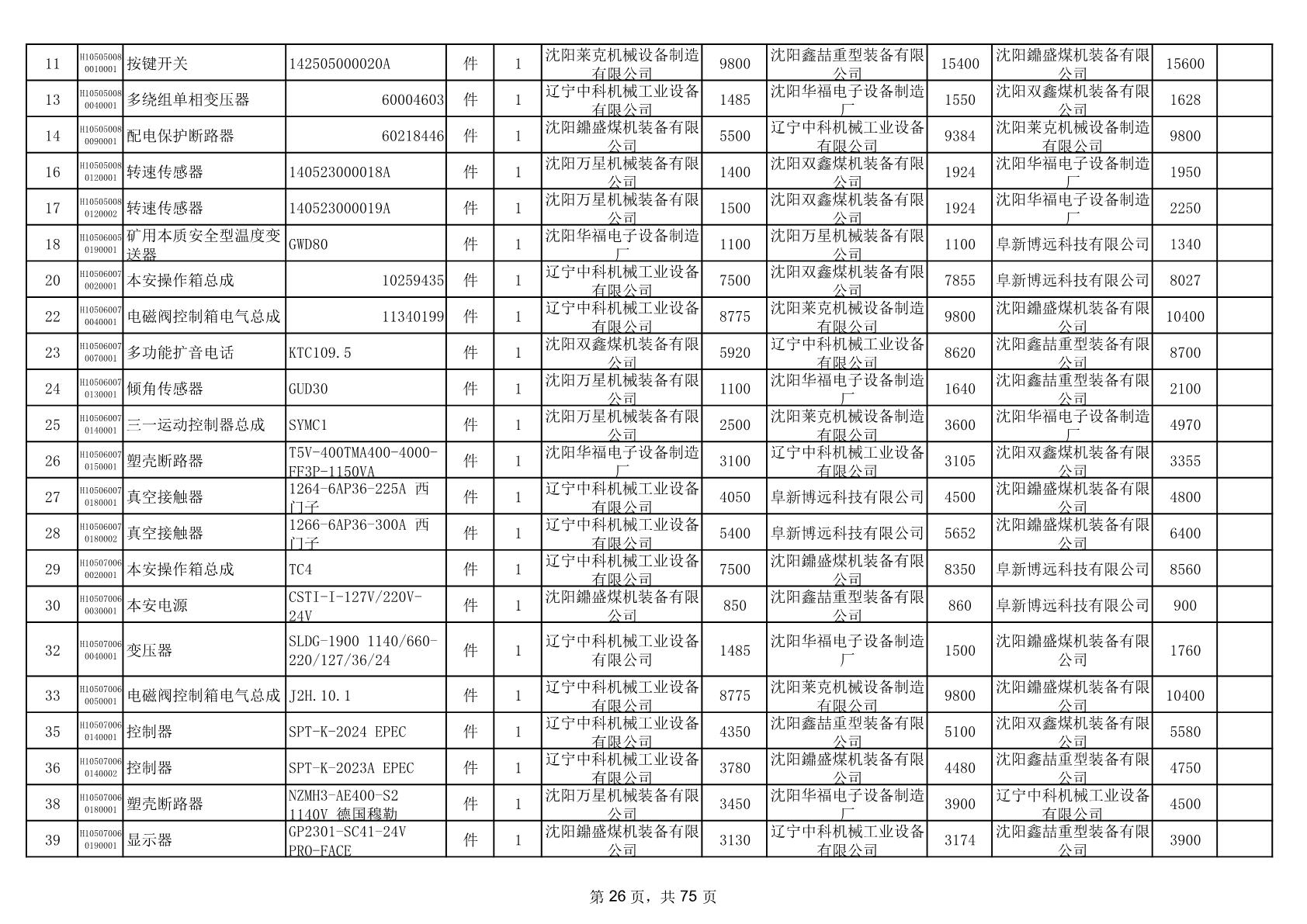
2025年9月16日配件中标候选人公示(0056P)